Foro de preguntas y respuestas de Matemáticas

logo beUnicoos
Los foros de unicoos se han unificado en nuestra nueva plataforma beUnicoos. Para dejar nuevas preguntas deberás hacerlo allí, donde además podrás encontrar nuevas asignaturas y herramientas para ayudarte más con tus estudios.

  • Usuario eliminado
    el 10/4/19

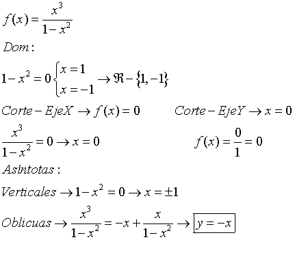
    Alguien me podría explicar el análisis o estudio de funciones?

    (dominio, recorrido, puntos de corte, intervalo de crecimiento y de decrecimiento, punto máximo y mínimo) con un ejemplo, por favor, gracias.


    replythumb_up0 voto/sflag
  • icon

    Rosa Piedra Del Valle
    el 10/4/19

    El resultado me da X=4±√16-20 partido de 2;

    replythumb_up0 voto/sflag
    icon

    Antonio
    el 10/4/19

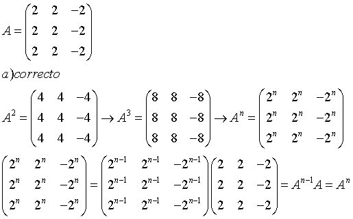
    Está bien!!!!!

    como √-4 no tiene solución en los números reales, la ecuación no tiene solución en los números reales


    thumb_up0 voto/sflag
  • icon

    Rosa Piedra Del Valle
    el 10/4/19


    replythumb_up0 voto/sflag
    icon

    Merche Valeiras
    el 11/4/19


    thumb_up0 voto/sflag
  • icon

    Ismael
    el 10/4/19

    Buenas noches:

    Seria posible ayuda y orientación con estos ejercicios

    replythumb_up0 voto/sflag
    icon

    César
    el 10/4/19


    thumb_up1 voto/sflag
    icon

    César
    el 10/4/19


    thumb_up1 voto/sflag
  • icon

    Borja
    el 10/4/19

    ¿Cómo puedo realizar estos tres ejercicios? Estoy estudiando bachillerato a distancia y no aparece en la teoría de límites y continuidad que nos dio el profesor. 

    replythumb_up0 voto/sflag
  • icon

    jose amo
    el 10/4/19

    buenas.

    la formula del resto del polinomio de taylor segun un video que he visto se usa la derivada de orden(n+1),pero en el video del canal de unicoos la usan como la funcion elevada a (n+1) cual seria la correcta?

    adjunto videos

    video unicoos: https://www.youtube.com/watch?v=H80CxeWBYsg

    el otro video:https://www.youtube.com/watch?v=mZNUtp9Kryc

    replythumb_up0 voto/sflag
    icon

    Antonio Silvio Palmitano
    el 10/4/19

    Solo se trata de una forma de notación: si el Polinomio de Taylor es de orden n, entonces en la expresión del resto debe ir la derivada de orden (n+1).

    Espero haberte ayudado.

    thumb_up1 voto/sflag
    icon

    Antonius Benedictus
    el 10/4/19

    Estas son las distintas expresiones del resto. La que tú dices es la última.  Y en TODAS aparece la derivada (n+1)-ésima:


    thumb_up1 voto/sflag
  • icon

    lbp_14
    el 10/4/19

    Hola Unicoos

    En el apartado a) no sé si lo que he hecho sacando factor común es correcto 

    Y en el apartado b) la solución no coincide con mi resultado.

    Me podrían ayudar?

    Muchísimas gracias


    replythumb_up0 voto/sflag
    icon

    César
    el 10/4/19

    Ambos son correctos


    thumb_up1 voto/sflag
  • icon

    pabloxtos _21
    el 10/4/19

    Alguien me explica por que valores sustituyes y de donde los sacas para llegar a ese sistema porque de normal lo hago de la forma de los videos pero el profesor solo quiere esa

    replythumb_up0 voto/sflag
    icon

    Antonio
    el 10/4/19

    Fíjate que en el numerador de un lado tienes: 4x2+5x+2

    y en el numerador del otro lado tienes: = Ax+A+Bx2+Bx+cx2

    igualando:

    4x2+5x+2 = Ax+A+Bx2+Bx+cx2= Bx2+Cx2+Ax+Bx+A=(B+C)x2+(A+B)x+A

    igualando los coeficientes de los términos de igual grado

    4=B+C

    5=A+B

    2=A


    thumb_up0 voto/sflag
  • icon

    Jesús Díaz Castro
    el 10/4/19

    Duda urgente:


    Para hallar la intersección de dos variedades lineales, ¿se usan siempre sus ecuaciones cartesianas o hay otro modo?

    replythumb_up0 voto/sflag
    icon

    Antonius Benedictus
    el 10/4/19

    Para la intersección, las cartesianas. Para la suma, se selecciona una base del conjunto que resulta de juntar ambas bases, para las paramétricas.

    thumb_up1 voto/sflag
  • icon

    Isabel
    el 10/4/19

    Hola buenas!

    ¿La convergencia del método del punto fijo para hallar las raíces de una función siempre es lineal? ¿Incluso si la función tiene discontinuidades en forma de asíntotas verticales y/o su derivada no se puede acotar por una constante menor que 1?


    Muchas gracias

    replythumb_up0 voto/sflag
    icon

    César
    el 10/4/19

    El teorema del punto fijo, exige que sea continua y derivable  en el [a,b]

    https://www.youtube.com/watch?v=5sUWIOh4-Po

    thumb_up0 voto/sflag