Entre estas diversas losetas cuadradas observa la que está en el centro de la foto. Verás que contiene un caudrado pequeño, con dibujo floral, inscrito en otro cuadrado más grande. Si el lado de la loseta mide 25 cm ¿qué área tiene el cuadrado pequeño, del dibujo floral? Dar el resultado con dos decimales redondeados.
Hola ayuda por favor con los ejercicios uno. Por favor un inciso de cada ejercicio por lo menos para que me sirva de muestra. Gracias de antemano.
Hola, podrían ayudarme con este ejercicios de cónicas. El enunciado es el siguiente:
1) Dada la siguiente elipse
3x2+ 2y2 +18x -8y +29=0
Halla: vértices, focos, excentricidad, semiejes (mayor(a) y menor(b)).
Hemos instalado una alarma antirrobo en nuestra fábrica. Los días en que se produce un robo, la alarma lo detecta con un 99,5% de probabilidad. Sin embargo, el aviso salta en un 1% de los días en los que no hay ningún robo, dando una falsa alarma. Sabiendo que la empresa registra, de media, un intento de robo al año. ¿Cuál es la probabilidad de que en un día en que suene la alarma, realmente se esté intentando producir un robo?
Gracias amigos matemáticos, me sería de gran ayuda.
Buenas a tod@s,
Nos gustaría ayuda con un problema.
Un amigo y yo hemos apostado para ver quien pierde más peso en 3 meses. El problema es que no sabemos cómo hemos de realizar el cálculo para que sea justo porque uno pesa 120 kg y otro pesa 74 kg.
Alguna sugerencia???
Pues el que pesa más debería llevar una dieta más estricta y equilibrada que el que pesa menos, ya que al que pesa menos le quedará menos trayecto para alcanzar el mismo objetivo. Pongamos un ejemplo, 60 kg. Uno que pesa 70 kg no debería estar tan regido como el que pesa 120 kg, y el último debería quemar más grasas, por lo que necesita hacer más ejercicio. Cuanto más ejercicio se haga, más peso se pierde.

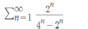
Rodrigo,tienes toda la razon,he cometido un error tremendo,nota que
2n /(4n -2n )=2n /(2n(2n-1))=0 si n tiende a infinito
Asi que hay que buscar por otro lado,pero puedes usar el criterio de la razon,la serie ∑an converge si el limite de an+1 / an es menor que 1
Asi,si hacemos esto,por lo que hicimos antes sabemos que
2n /(4n -2n )=2n /(2n(2n-1))=1/(2n-1)
Asi,observa que para aplicar el criterio de la razon,tenemos que hacer el limite de
(2n-1)/(2n+1-1) cuando n tiende a infinito
Aplicando L'hopital llegamos a que,debemos de hacer el limite de
2nln2/2n+1 ln2=2n /2n+1 =1/2 y si n tiende a infinito,tenemos que el limite va a 1/2
Asi,la serie es convergente
Una disculpa por el error pasado,cualquier duda me avisas
Saludos