Hola! Mi novio ha decidido meterse en la carrera de matemáticas tras acabar una ingeniería, y quería regalarle algún libro que sea como el Santo Grial de la carrera, no específicamente de ninguna asignatura sino más bien de los que todo matemático debe tener, algo así como el DSM en psicología. Podrían recomendarme alguno? Había pensado en el diccionario matemático Akal pero estoy abierta a sugerencias. Gracias :).
Hola, necesito ayuda para resolver los siguientes problemas:
1º.- André, Carlos y Francisco trabajan en una cafetería que abre de 8:00 h a 22:00 h. Cierto día André trabajó dos horas más que Carlos, y Carlos trabajó el doble de tiempo que Francisco. Además, Carlos coincidió con André durante 2 horas y con Francisco durante 1 hora, pero nunca coincidieron los tres a la vez. No hay más camareros en esa cafetería. Supongamos que cuatro clientes rompen por accidente su vaso a lo largo de ese día.
a) Calcule la probabilidad p de que todos los accidentes ocurran cuando están dos camareros en la cafetería.
b) ¿Cuál es la probabilidad p de que si un cliente rompe su vaso esto ocurra cuando están trabajando juntos Carlos y André?
2º.- Con el fin de fabricar sillitas infantiles de coche aptas para un alto porcentaje de menores, una empresa elabora un estudio para obtener la relación entre la estatura declarada (variable X) y el percentil 95 de la atura que se alcanza sentado (variable Y). En la tabla siguiente se recogen los valores de ambas variables expresadas en centímetros:
X 45 50 55 60 65 70 75 80 85 90 95 100 105 110 115 120 125 130 135 140 145 150
Y 39,0 40,5 42,0 43,5 45,0 47,1 49,2 51,3 53,4 55,5 57,6 59,7 61,8 63,9 66,0 68,1 70,2 72,3 74,4 76,5 78,6 81,1
Si se pretendiese calcular el percentil 95 de la altura que alcanzan sentados los niños y las niñas que declaran una estatura de 100 cm con la recta de interpolación obtenida a partir de los datos correspondientes a estaturas de 50 cm y 100 cm, el error absoluto cometido sería...???
hola buenas tardes tenia duda sobre el despeje de esta ecuacion mv²/2=GMm/R-GMm/(R+h). QUIERO DESPEJAR h Y CONOZCO TODO LO DEMAS

Te mostramos una forma.
Divides por m en todos los términos de tu ecuación, y queda:
v2/2 = GM/R - GM/(R+h),
multiplicas por 2 en todos los términos de esta última ecuación, y queda:
v2 = 2GM/R - 2GM/(R+h),
multiplicas por R en todos los términos, y queda:
Rv2 = 2GM - 2GMR/(R+h).
restas 2GM en ambos miembros, y queda:
Rv2 - 2GM = -2GMR/(R+h),
multiplicas por -1 en todos los términos, y queda:
-Rv2 + 2GM = 2GMR/(R+h),
multiplicas por (R+h) en ambos miembros, y queda:
(R+h)(-Rv2 + 2GM) = 2GMR,
divides por (-Rv2 + 2GM) en ambos miembros, y queda:
R + h = 2GMR/(-Rv2+2GM),
restas R en ambos miembros, y queda:
h = 2GMR/(-Rv2+2GM) - R,
extraes factor común R en el segundo miembro, y queda:
h = R( 2GM/(-Rv2 + 2GM) - 1),
extraes denominador común en el agrupamiento, y queda:
h = R( ( 2GM - (-Rv2 + 2GM) )/(-Rv2 + 2GM) ),
distribuyes el signo en el segundo término del numerador, redces términos semejantes en el numerador, y queda:
h = R( Rv2/(-Rv2 + 2GM) ),
resuelves la multiplicación, y queda:
h = R2v2/(-Rv2 + 2GM).
Espero haberte ayudado.
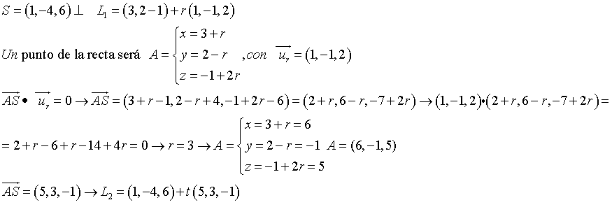
¿Alguien me ayuda con el 3er apartado por favor? Lo he intentado pero no le encuentro sentido a lo que me da.
Soluciones:
1: ( 2 1 1 )
Af = ( 0 1 0 )
( 2 -2 1 )
2:
dim Kerf(f) = 1 ,,,,, dim Img(f) = 2
{(1/2,0,1)} Base del Kerf(f)
2x + y + z = 0] Ec implicitas
y = 0] del Kerf(f)
Buenas, por favor necesito ayuda para resolver el lim(x,y)--(0,0) sen(xy)/x^2+y^2 el resultado ya lo tengo, pero me gustaria saber los pasos para llegar a el.. Gracias

Observa que tienes los módulos de los vectores, a quiénes les corresponden expresiones positivas, y observa que indicamos con barras dobles a los módulos de los vectores, y con barra simple a sus módulos (observa también que a éstos les corresponden valores absolutos):
||u|| = |√(50)|,
|||v|| = |x|.
Luego, planteas la expresión del producto escalar de los dos vectores en función de sus componentes, y queda:
u • v = < 1 , 7 > • < x . 0 > = 1*x + 7*0 = x + 0 = x.
Luego, planteas la expresión del producto escalar de los dos vectores en función de sus módulos y del ángulo determinado por ellos, y queda:
||u|| * ||v|| * cos(α) = u • v,
sustituyes expresiones, y queda:
|√(50)|*|x|* cos(α) = x,
divides por |x| en ambos miembros, y queda:
|√(50)|* cos(α) = x/|x|;
luego, observa que tienes dos opciones posibles:
1°)
si la primera componente del vector v es positiva, o sea: x > 0, tienes (recuerda la definición de valor absoluto):
|√(50)|* cos(α) = x/x, simplificas en el segundo miembro, y queda:
|√(50)|* cos(α) = 1, divides por |√(50)| en ambos miembros, y queda:
cos(α) = 1/|√(50)|, compones en ambos miembros con la función inversa del coseno, y queda:
α ≅ 81,870°,
que es el valor aproximado de la medida del ángulo determinado por el vector u y el semieje OX positivo;
2°)
si la primera componente del vector v es negativa, o sea: x < 0, tienes (recuerda la definición de valor absoluto):
|√(50)|* cos(α) = x/(-x), simplificas en el segundo miembro, y queda:
|√(50)|* cos(α) = -1, divides por |√(50)| en ambos miembros, y queda:
cos(α) = -1/|√(50)|, compones en ambos miembros con la función inversa del coseno, y queda:
α ≅ 98,130°,
que es el valor aproximado de la medida del ángulo determinado por el vector u y el semieje OX negativo.
Por último, recuerda que en general se llama "ángulo que forma un vector con el eje OX" al ángulo determinado por el vector con el semieje OX positivo.
Espero haberte ayudado.