Hola. Tengo una duda. ¿como saco las asintotas de esta fcion?
X / ((X+1)^1/2)
Verticales no hay porque no anula en ningún punto del dominio real. Te toca demostrarlo, por si acaso, demostrando que no se cumplen las condiciones de este enlace. http://www.ieszaframagon.com/matematicas/matematicas2/limite_continua_b/3_asntotas_y_ramas_infinitas.html
La asíntota horizontal te saldrá 1, por el límite de x cuando tiende a infinito de la función, y oblícua no habrá al haber horizontal.

Vamos con una precisión.
Tienes la expresión de la función (observa que escribimos al denominador con raíz cuadrada):
f(x) = x/√(x+1),
cuyo dominio es el intervalo: D = (-1,+∞).
Luego, pasamos a investigar la existencia o no existencia de Asíntotas Verticales:
Lím(x→-1+) f(x) = Lím(x→-1+) ( x/√(x+1) ) = -∞,
ya que el numerador tiende a -1 y el denominador tiende a 0 desde valores positivos,
por lo que puedes concluir que la recta cuya ecuación es: x = -1 es una Asíntota Vertical de la gráfica de la función.a
Luego, pasamos al investigar la existencia o no existencia de Asíntotas Horizontales (observa que aplicamos procedimientos que seguramente has visto en clase para resolver el límite):
Lím(x→+∞) f(x) = Lím(x→+∞) ( x/√(x+1) ) = Lím(x→+∞) ( √(x2)/√(x+1) ) =
= Lím(x→+∞) ( √( x2/(x+1) ) = Lím(x→+∞) ( √( (x2/x2) / (x+1)/x2 ) =
= Lím(x→+∞) ( √( 1 / (x/x2+1/x2 ) = Lím(x→+∞) ( √( 1 / (1/x+1/x2 ) = +∞,
ya que el numerador del argumento de la raíz es 1 y el denominador tiende a 0 desde valores positivos,
por lo que puedes concluir que la gráfica de la función no presenta Asíntotas Verticales.
Espero haberte ayudado.
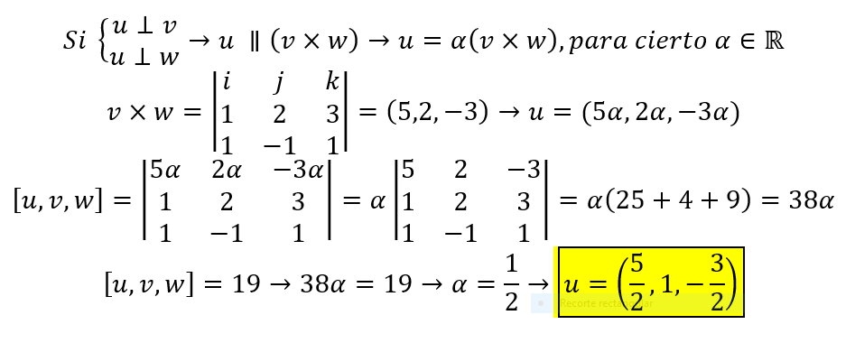
Hola tengo una duda.
El ejercicio me pide que halle el vector u sabiendo que es ortogonal con los vectores v y w y que el producto vectorial de los tres es 19.
Yo he sacado el vector ortogonal a v y w, pero el producto vectorial me da 8 y no 19. No sé qué debo hacer para conseguir el 19.
Muchas gracias
Que tal Unicoos? Tengo dudas sobre cómo resolver este límite
Lim(x;y)->(0;0) F(x)
si F(x)= y para x ≥ 0
-y para x<0
por lo que supongo, el límite no existe pero no logro demostrarlo. Agradecería una mano

Si se trata de resolver la ecuación:
√(2x-3) - x = -1, sumas x en ambos miembros, y queda:
√(2x-3) = x -1, elevas al cuadrado en ambos miembros, y queda:
2x - 3 = (x-1)2, desarrollas el binomio elevado al cuadrado, y queda:
2x - 3 = x2 - 2x + 1, restas x2, sumas 2x y restas 1 en ambos miembros, reduces términos semejantes, y queda:
-x2 + 4x - 4 = 0, multiplicas en todos los términos por -1, y queda:
x2 - 4x + 4 = 0, factorizas el trinomio cuadrado perfecto en el primer miembro, y queda:
(x-2)2 = 0, extraes raíz cuadrada en ambos miembros (observa que la raíz de cero es única), y queda:
x - 2 = 0, sumas 2 en ambos miembros, y queda:
x = 2 (*);
luego, reemplazas el valor señalado en la ecuación de tu enunciado (recuerda que con expresiones radicales al comienzo pueden presentarse soluciones extrañas que no son válidas para la ecuación inicial), y queda:
√(2*2-3) - 2 = -1, resuelves el argumento de la raíz, y queda:
√(1) - 2 = -1, extraes raíz cuadrada positiva en el primer término del primer miembro, y queda:
1 - 2 = -1, resuelves el primer miembro, y queda:
-1 = -1,
que es una Identidad Verdadera, por lo que tienes que el valor señalado (*): x = 2 es la única solución de la ecuación de tu enunciado.
Espero haberte ayudado.

Antonius -> El enunciado se trataba únicamente de resolver esa ecuación , era un ejercisio suelto, muchas gracias igualmente.
Antonio Sivio Palmitano -> Una pregunta, por que múltiplicas por -1 cuando tienes -x2+4x-4=0?
Mi pregunta principal, es como se factorizaría esa ecuación de 2º grado, pongo la factorización abajo de la foto, -(x-2)*(x-2) // Pongo menos en el primer parentisis por que en teoría tengo que multiplicar la factorización por el coeficiente del primer término, que sería -1, ¿ en cuyo dicho caso , sería viable que el resultado fuera (x-2)2 ? , es decir, es el mismo número por el mismo número, pero recorde que al elevar un número al cuadrado no puede ser negativo, asi que no sé como quedaría. -.-'. Muchas gracias de antemano
Hola buenas tengo un problema que dice que se quiere fabricar una caja de base cuadrada con un material que cuesta:
24€/m^2 de la base
18€/m^2 de los laterales
Cuales seran las dimensiones para obtener el mayor volumen posible disponiendo de 50€.
He pensado en que una condición podria ser x^2*24+4*x*y*18=50 pero no estoy seguro de cual podria ser la otra

Consideramos que la caja no tiene tapa.
Puedes llamar "x" a la longitud de la arista de la base de la caja (observa que x toma valores estrictamente positivos),
y entonces tienes que el costo de la misma es:
CB = 24*x2.
Puedes llamar "y" a la longitud de la arista de la altura de la caja (observa que y toma valores estrictamente positivos),
y entonces tienes que el costo de las cuatro paredes laterales (observa que son rectangulares) es:
CP = 4*18*x*y = 72*x*y.
Luego, planteas que la suma de los costos de la base y de las paredes laterales es igual al costo total (que es 50 euros), y tienes la ecuación:
CB + CP = 50, sustituyes expresiones, y queda:
24*x2 + 72*x*y = 50, divides por 2 en todos los términos, y queda:
12*x2 + 36*x*y = 25, restas 12*x2 en todos los términos, y queda:
36*x*y = 25 - 12*x2, divides por (36*x) en todos los términos, y queda:
y = 25/(36*x) - (12*x2)/(36*x), simplificas en el último término, y queda:
y = 25/(36*x) - x/3 (1).
Luego, planteas la expresión del volumen de la caja, y queda:
V = x2*y (*),
sustituyes la expresión señalada (1) en el último factor de la expresión, y queda:
V = x2*(25/(36*x) - x/3),
distribuyes, simplificas, reduces factores semejantes, y queda:
V = 25*x/36 - x3/3 (2),
que es la expresión de volumen de la caja en función de la longitud de la arista de su base.
Luego, planteas la expresión de la derivada de la función volumen ( cuya expresión está señalada (2) ), y queda:
V ' = 25/36 - 3*x2;
luego, planteas la condición de valor estacionario (posible máximo o posible mínimo de la función), y queda:
V ' = 0, sustituyes la expresión de la función derivada en el primer miembro, y queda:
25/36 - 3*x2 = 0, restas 25/36 en ambos miembros, y queda:
-3*x2 = -25/36, divides por -3 en ambos miembros, y queda:
x2 = 25/108, extraes raíz cuadrada positiva en ambos miembros, y queda:
x = √(25/108) m ≅ 0,481 m;
luego, sustituyes la expresión remarcada en la ecuación señalada (1) (observa que empleamos el valor aproximado para no lidiar con tanto cálculo), y queda:
y ≅ 25/(36*0,481) - 0,481/3, resuelves, y queda:
y ≅ 1,283 m;
luego, reemplazas los valores de las aristas de la caja aproximados en la expresión de volumen de la caja señalada (*), y queda:
V ≅ 0,4812*1,283, resuelves, y queda:
V ≅ 0,297 m3.
Espero haberte ayudado.
Hola, tengo una pequeña duda.
En el enunciado me dicen que el plano corta a los ejes coordenados en los puntos x=1, y=2, z=3. No sé a qué se refiere y no puedo calcular las coordenadas entoncces
Hola alguien me puede ayudar con estos problemas.
1) En una superficie bidimensional se considera el punto (2,1) como el centro ahora considere que se realiza una transformación rotacional con un ángulo de rotación de 45° ¿ A que punto se transforma el punto (3,3)?
2) Determine la función cúbica que cruza por los puntos (0,1) , (-1,-2) , (1,2) , (2,9)
Gracias por la ayuda que puedan ofrecer
Sea
f(x)=ax3+bx2+cx+d
f(0)=1 => f(0)=a·03+b·02+c·0+d=d=1=>d=1
f(-1)=-2 => f(-1)=a·(-1)3+b·(-1)2+c·(-1)+1=-2=>-a+b-c=-3
f(1)=2 => f(1)=a·(1)3+b·(1)2+c·(1)+1=2=>a+b+c=1
f(2)=9 => f(2)=a·(2)3+b·(2)2+c·(2)+1=9=>8a+4b+2c=8
tenemos, por tanto, el sistema de ecuaciones:
-a+b-c=-3
a+b+c=1
8a+4b+2c=8
que resolviéndolo
a=4/3
b=-1
c=2/3
quedando:
f(x)=4/3x3-x2+2/3x+1