Foro de preguntas y respuestas de Matemáticas

logo beUnicoos
Los foros de unicoos se han unificado en nuestra nueva plataforma beUnicoos. Para dejar nuevas preguntas deberás hacerlo allí, donde además podrás encontrar nuevas asignaturas y herramientas para ayudarte más con tus estudios.

  • icon

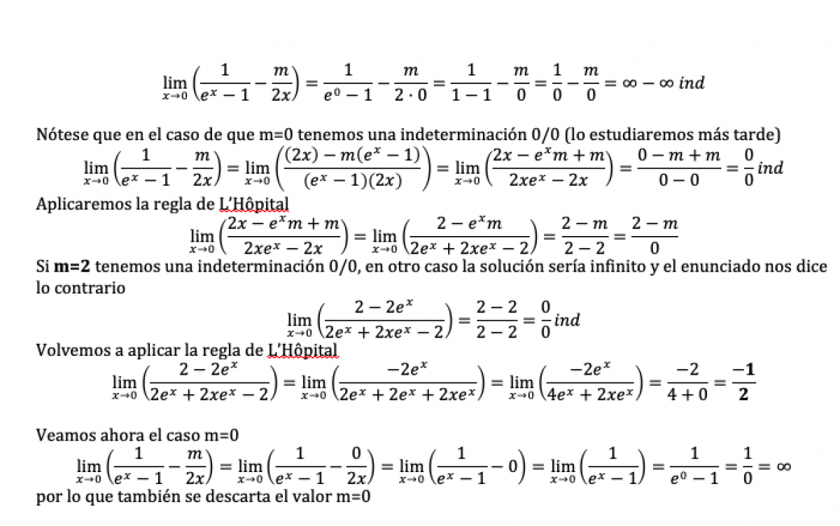
    Antonio Sanchez
    el 19/3/19

     ayuda con el ejercicio 3 pls, se q es por l hopital, pero en teoria m vale 2 y a mi me sale 3, plis heelp

    replythumb_up0 voto/sflag
    icon

    Antonio
    el 19/3/19


    thumb_up0 voto/sflag
  • icon

    comando bachuerino
    el 19/3/19

    hola buenas me podrian decir como se hace el ejercicio 8 de la imagen? Gracias

    replythumb_up0 voto/sflag
    icon

    Antonio
    el 19/3/19

    tenemos 4 incógnitas por que necesitaremos 4 pistas (ecuaciones)

    como pasa por el punto (0,1) tenemos que f(0)=1

    como tiene un extremo relativo en x=0 tenemos que f'(0)=0

    como pasa por el punto (1,-1) tenemos que f(1)=-1

    como tiene un punto de inflexión en x=1 tenemos que f''(1)=0

    seguimos

    f(x)=ax3+bx2+cx+d

    f(0)=1 => f(0)=a·03+b·02+c·0+d=d=1=>d=1

    f'(x)=3ax2+2bx+c

    f'(0)=3ax2+2bx+c=3a·02+2b·0+c=c=0=>c=0

    f(1)=-1 => f(0)=a·13+b·12+c·1+d=a+b+c+d=a+b+0+1=-1=>a+b=-2

    f''(x)=6ax+2bx

    f''(1)=0=>6a·1+2b·1=6a+2b=0

    ahora tenemos que resolver un sistema de ecuaciones

    a+b=-2

    6a+2b=0

    cuya solución es 

    a=1

    b=-3

    por lo tanto:

    a=1, b=-3, c=0 y d=1

    siendo f(x)=x3-3x2+1


    thumb_up1 voto/sflag
    icon

    Antonio
    el 19/3/19

    te paso la gráfica para que lo compruebes


    thumb_up1 voto/sflag
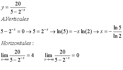
  • icon

    Zaraima Carmona
    el 19/3/19

    b)       c)    

    alguien sabe realizar las asintotas de estas funciones gracias.

    replythumb_up0 voto/sflag
    icon

    César
    el 19/3/19


    thumb_up0 voto/sflag
    icon

    César
    el 19/3/19

  • icon

    Zaraima Carmona
    el 19/3/19

    hola, alguien me podria ayudar. gracias

    En un parking de la zona nos cobran por dejar el vehículo un fijo diario de 1’8 euros y una parte variable a razón de 6 céntimos el minuto (o la parte proporcional si es una fracción del mismo) si lo dejamos un tiempo inferior a una hora y 8 céntimos el minuto (o la parte proporcional si es una fracción del mismo) si iguala o sobrepasa la hora. Pensamos dejar el coche en el parking.

    En esta situación descrita:

    a) Escribe la expresión analítica de la función que indica el gasto ocasionado en función del número de minutos que dejamos el vehículo en el parking (Se recomienda pasar todas las cantidades a céntimos).

    replythumb_up0 voto/sflag
    icon

    César
    el 19/3/19


    thumb_up0 voto/sflag
  • icon

    Paula Nadal
    el 19/3/19

    Buenos días, necesito resolver unos cálculos de potenciación pero no encuentro videos ni ayuda sobre ellos. En cuando el exponente es una fracción, por ejemplo:


    (5·43 ) 1/3  ÷  (52 · 47) 1/6


    Muchas gracias

    replythumb_up0 voto/sflag
    icon

    César
    el 19/3/19


    thumb_up0 voto/sflag
  • icon

    XIME
    el 19/3/19

    Holaaaa!! Alguien podría responderme esta pregunta???  La intersección  entre dos figuras convexas es convexa? 


    replythumb_up0 voto/sflag
    icon

    Antonius Benedictus
    el 19/3/19


    thumb_up0 voto/sflag
  • icon

    lbp_14
    el 19/3/19

    Hola Unicoos

    Alguien sabe si en la selectividad de la Comunidad de Madrid está permitido hacer "dibujos" tipo Rectas reales para estudiar la continuidad, o diagramas de árbol para probabilidad, etc? 

    Siento la pregunta, muchas gracias

    replythumb_up0 voto/sflag
    icon

    Francisco Javier Tinoco Tey
    el 19/3/19

    Si esta totalmente permitido, puedes utilizarlo sin preocupación, aunque si en el caso de la continuidad te dan una funcion difícil de dibujar vas a tardar mas que hacerlo por definición de limite de esa funcion.

    Espero haberte ayudado, un saludo ;)

    thumb_up1 voto/sflag
  • icon

    Uriel Dominguez
    el 19/3/19

    Me podrían ayudar?

    replythumb_up0 voto/sflag
    icon

    César
    el 19/3/19


    thumb_up1 voto/sflag
  • icon

    Uriel Dominguez
    el 19/3/19

    Me ayudan con ese ejercicio? Por favor 

    replythumb_up0 voto/sflag
    icon

    Antonius Benedictus
    el 19/3/19


    thumb_up1 voto/sflag
  • icon

    Juan David Rodríguez González
    el 19/3/19

    Enunciado : 

    Sistema Planteado: 

    replythumb_up0 voto/sflag
    icon

    César
    el 19/3/19


    thumb_up0 voto/sflag
    icon

    Antonius Benedictus
    el 19/3/19


    thumb_up1 voto/sflag