Foro de preguntas y respuestas de Matemáticas

logo beUnicoos
Los foros de unicoos se han unificado en nuestra nueva plataforma beUnicoos. Para dejar nuevas preguntas deberás hacerlo allí, donde además podrás encontrar nuevas asignaturas y herramientas para ayudarte más con tus estudios.

  • icon

    Juan David Rodríguez González
    el 19/3/19

    está correcto ? gracias

    replythumb_up0 voto/sflag
    icon

    César
    el 19/3/19

    Sin fórmulas


    thumb_up1 voto/sflag
  • icon

    Lourdes Perez Borrero
    el 18/3/19

    Buenas. Por favor si alguien me puede ayudar con este ejercicio; y muchas gracias.

    replythumb_up0 voto/sflag
    icon

    César
    el 19/3/19


    thumb_up0 voto/sflag
  • icon

    mery
    el 18/3/19

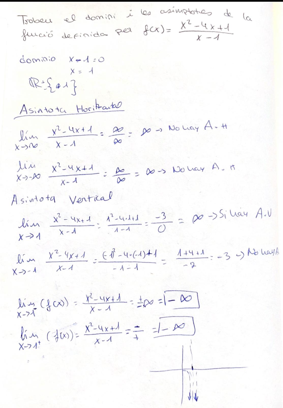
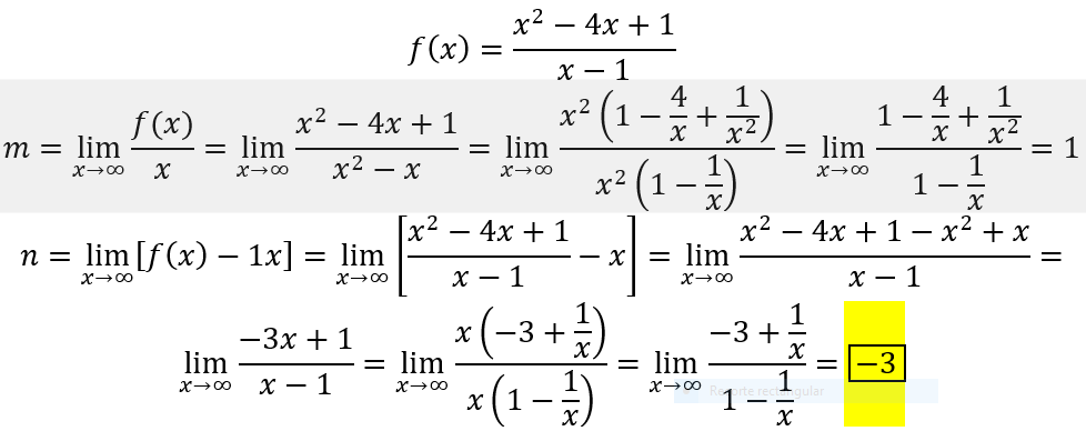
    Hola, aqui tengo un ejercicio de analisis de funciones, donde me pide calcular el dominio y las asíntotas de la función f(x)=x- 4x+1/x-1 me sale todo bien menos la asintota oblicua que me sale n= infinito, y en los resultado me dice que n=-3








    f(x) =x-1

    replythumb_up0 voto/sflag
    icon

    Antonius Benedictus
    el 18/3/19


    thumb_up0 voto/sflag
  • icon

    Elena Juzgado López
    el 18/3/19

    Hola a todos.

    He hecho el siguiente ejercicio, como veis en sucio ya que no estoy muy segura de haberlo hecho bien, a partir de el vídeo https://www.youtube.com/watch?v=F6G56eccQV0, pues es el más parecido que he encontrado.

    Me gustaría saber si lo he hecho bien o he cometido algún fallo. Admito que el tema del cambio de signos no es mi fuerte.

    Un saludo y gracias.


    replythumb_up0 voto/sflag
    icon

    Antonio
    el 18/3/19

    tienes un fallo en el cuarto paso

    al elevar al cuadrado 

    thumb_up1 voto/sflag
    icon

    César
    el 18/3/19


    thumb_up1 voto/sflag
    icon

    Elena Juzgado López
    el 19/3/19

    No comprendo la forma de resolver el ejercicio que plantea César. 

    thumb_up0 voto/sflag
    icon

    Antonio
    el 19/3/19

    el error fue con los signos:

    (-1-cosx)2=1+2cosx+cos2x


    thumb_up1 voto/sflag
    icon

    Elena Juzgado López
    el 19/3/19

    Bien, ya he sabido arreglarlo, muchas gracias.

    thumb_up0 voto/sflag
  • icon

    comando bachuerino
    el 18/3/19

    Hola buenas necesito ayuda al calcular este limite que supuestamente vale 2

    Por si no se entiende mi letra es limite cuando x tiende a 0 de (tg(x)-x)/(x-sen(x)) 

    Un saludo!! 

    replythumb_up0 voto/sflag
    icon

    Antonio
    el 18/3/19
    Flag pendiente

    aquí tienes la solución


    thumb_up0 voto/sflag
  • icon

    Antonio Sanchez
    el 18/3/19

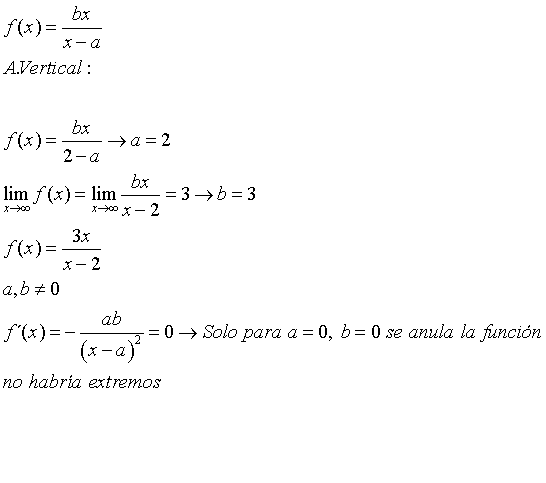
     una ayudita con el ejercicio 3, es un ejercicio de selectividad q no me sale, plis ayuda

    replythumb_up0 voto/sflag
    icon

    Antonio
    el 18/3/19

    a)

    para que tenga una azíntota vertical obligatoriamente el denominador debe tomar el valor cero por lo que el parámetro a debe ser igual a 2

    para que tenga aísntota horizontal obligatoriamente el límite de la función cuando x tiende a infinito debe ser un número, en este caso 2, por lo que b debe ser igual a 2

    thumb_up0 voto/sflag
    icon

    Antonio
    el 18/3/19

    b)

    f'(x)=[b(x-a)-1(bx)]/[x-a]2

    f'(x)=[bx-ab-bx)]/[x-a]2

    f'(x)=[-ab]/[x-a]2

    igualamos a cero
    f'(x)=0

    [-ab]/[x-a]2=0

    -ab=0 => a o b deben valer cero 

    pero como ni a ni b valen cero (nos lo dice el enunciado)

    f(x) no tiene extremos relativos


    thumb_up0 voto/sflag
    icon

    César
    el 18/3/19


    thumb_up0 voto/sflag
    icon

    Antonius Benedictus
    el 18/3/19


    thumb_up0 voto/sflag
  • icon

    Quiroga
    el 18/3/19

    Hola alguien me puede ayudar con el apartado b? Gracias 


    replythumb_up0 voto/sflag
    icon

    Quiroga
    el 18/3/19

    Y el apartado c? He respondido algo pero no estoy seguro de que esté bien.

    thumb_up0 voto/sflag
  • icon

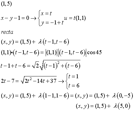
    Roberto Mulas García
    el 18/3/19

    Hola en la fórmula del ángulo que forman dos vectores(cosa=producto escalar/módulos vectores), al resolver esa ecuación despejando una incógnita(una coordenada de un vector), me ha salido una ecuación de segundo grado con dos soluciones, que al comprobarlo en las raíces solamente una es válida. En el solucionario ponen ambas soluciones(aunque una no sea válida) porque admiten las dos?

    replythumb_up0 voto/sflag
    icon

    Antonius Benedictus
    el 18/3/19

    Pon el enunciado original y dilucidamos.

    thumb_up0 voto/sflag
    icon

    Roberto Mulas García
    el 18/3/19

    Determina la ecuación de la recta s que pasa por el punto (1,5) y forma un ángulo de 45º con la recta r: x-y-1=0

    thumb_up0 voto/sflag
    icon

    César
    el 18/3/19


    thumb_up0 voto/sflag
    icon

    Roberto Mulas García
    el 18/3/19

    cómo igualas a una incógnita las coordenadas del vector de la recta s? que has puestos t-1, t-6; Gracias de antemano

    thumb_up0 voto/sflag
    icon

    Antonius Benedictus
    el 18/3/19


    thumb_up0 voto/sflag
    icon

    Antonio
    el 18/3/19

    tenemos x-y-1=0

    que es lo mismo que y=x-1

    vemos que esta recta forma un ángulo de 45º con la horizontal

    por lo que la recta pedida debe ser 45º más, es decir vertical o 45º menos, es decir horizontal

    una recta vertical que lasa por el punto (1,5) es de la forma x=1

    una recta horizontal que lasa por el punto (1,5) es de la forma y=5



    thumb_up0 voto/sflag
    icon

    Antonio
    el 18/3/19

    es evidente que la recta y=x-1forma un ángulo de 45º con la horizontal, pero si lo quieres ver analíticamente tenemos que su pendiente es m=1 y como m=tag α tenemos que: tag α =1 => α =45º

    thumb_up0 voto/sflag
  • icon

    Yago Alonso-Alegre
    el 18/3/19

    Buenas tardes, no consigo encontrar donde está la teoría, me podrían ayudar?

    Muchas gracias.

    replythumb_up0 voto/sflag
    icon

    Antonius Benedictus
    el 18/3/19

    Debajo de cada vídeo, en "Material Adicional".


    thumb_up1 voto/sflag
  • icon

    JOSE ANTONIO
    el 18/3/19

    Buenas tardes. Gracias de antemano por la ayuda. Asunto: fracciones algebraicas.

    En mi libro de mates de 3ºESO hablan muy someramente de lo que se consideran o no fracciones algebraicas. Desafortunadamente no explican para nada en qué se diferencian unas de otras. Como no sea que en las que no son fracciones aparecen variables [letras] bajo los símbolos de radicación. Si este último fuera el caso quizá el texto del libro debería explicar la razón que impide que las mismas no sean fracciones algebraicas.

    Adjunto una imagen con lo que dice exactamente el texto del libro. Muchas gracias otra vez.

    José Antonio Barrera Núñez, Málaga.


    replythumb_up0 voto/sflag
    icon

    Antonius Benedictus
    el 18/3/19

    En Matemáticas, las operaciones ENTERAS son Suma, Resta y Producto. Éstas dan lugar a los polinomios.

    Si añadimos la División, tenemos las operaciones ALGEBRAICAS. Éstas dan lugar a las fracciones algebraicas.


    thumb_up0 voto/sflag