Foro de preguntas y respuestas de Matemáticas

logo beUnicoos
Los foros de unicoos se han unificado en nuestra nueva plataforma beUnicoos. Para dejar nuevas preguntas deberás hacerlo allí, donde además podrás encontrar nuevas asignaturas y herramientas para ayudarte más con tus estudios.

  • icon

    Jesus miguel Palencia ballesteros
    el 18/3/19

    Hola prof, gracias por sus videos. Tengo una duda el dominio de 2*arctan(1/x) es todos los reales o (0, -infinito) unido (0,+infinito).  no sé si es un punto de continuidad o discontinuidad, muchas gracias. 




    replythumb_up0 voto/sflag
    icon

    Antonius Benedictus
    el 18/3/19

    x=0  no pertenece al dominio. El resto de los reales, sí.

    thumb_up0 voto/sflag
  • icon

    inpernu
    el 18/3/19

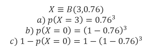
    Me ayudaís por favor? Gracias! es un ejercicio de probabilidad.

    Se estima que la probabilidad de que un hombre de 40 años cumpla 65 es de 0’76. Si tres amigos se reúnen para celebrar su cuadragésimo cumpleaños, hallar la probabilidad de que en su 65 aniversario:a)Vivan los tres amigos.b)Los tres hayan fallecido.c)Viva alguno de ellos.

    replythumb_up0 voto/sflag
    icon

    Antonius Benedictus
    el 18/3/19


    thumb_up0 voto/sflag
  • icon

    Susana Ramírez Martínez
    el 18/3/19

    Me ayudan a resolver este ejercicio, es para tercero de primaria. Muchas gracias. He tratado de leerme el tema y por más vueltas que le doy no soy capaz de explicárselo. 

    replythumb_up0 voto/sflag
    icon

    César
    el 18/3/19


    thumb_up1 voto/sflag
  • icon

    Pepe Verga larga
    el 18/3/19

    Me piden que calculé el plano cuyo punto más próximo a P(1,0,-1)sea Q(-3,2,5) gracias




    replythumb_up0 voto/sflag
    icon

    Antonius Benedictus
    el 18/3/19

    A ver, Magnífico:

    Se trata del plano que pasa por Q(-3,2,5)  y es perpendicular al vector QP =(4,-2,-6), esto es a (2,-1,-3)  (la mitad).

    Entonces, el plano pedido:  2(x+3)-(y-2)-3(z-5)=0

    O sea:  2x-y-3z+23=0


    thumb_up0 voto/sflag
  • icon

    Marta
    el 18/3/19

    Querría que me ayudarais a resolver este ejercicio. Esboza la grafica de una hipérbola que tenga como asíntota x=2 e y=0 y pase por el punto (0,4). Escribe su ecuación.

    replythumb_up0 voto/sflag
    icon

    Antonius Benedictus
    el 18/3/19



    thumb_up1 voto/sflag
  • icon

    Javier García
    el 18/3/19

    Tengo dudas con este problema, supongo que es de distribución bidimensional , pero no sé cómo sacar la tabla de frecuencias con los datos dados para sacar la recta de regresión y coeficiente de correlación que me piden en el apartado a) y b) ...   (Es el ejercicio 3)



    replythumb_up0 voto/sflag
    icon

    Javier García
    el 18/3/19

    Si, había visto el vídeo antes pero en este ejercicio no me dan la frecuencia directamente, aunque supongo que serán los meses pero es mi duda. En ese caso he hecho esta tabla, pero de nuevo no sé si es lo que necesito. ¿Está bien?


    thumb_up0 voto/sflag
  • icon

    lilydita ledesma
    el 18/3/19

    Hola Unicoos, me podrían ayudar con este ejercicio por favor. 

    Muchas gracias 

    replythumb_up0 voto/sflag
    icon

    Antonius Benedictus
    el 18/3/19


    thumb_up1 voto/sflag
  • icon

    Nerea
    el 17/3/19

    donde esta el error del planteamiento?? Y sí me piden que la ganancia (beneficio) sea mayor que 0, positiva?? 


    replythumb_up0 voto/sflag
    icon

    César
    el 18/3/19

    Pon enunciado completo


    thumb_up1 voto/sflag
  • icon

    Mr. científico
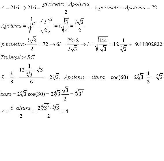
    el 17/3/19

    Alguien me ayuda a calcular el area del triangulo? Se lo que mide AB y AC: 4/∜ 3. Y los angulos del triangulo creo que son 60, 60 y 120. Como se saca el área entonces?


     


    replythumb_up0 voto/sflag
    icon

    César
    el 18/3/19


    thumb_up0 voto/sflag
  • icon

    inpernu
    el 17/3/19

    alguien me puede ayudar con este ejercicio de probabilidad,p : cuatro personas s uben a un autobús cuando sólo quedan cinco paradas más para el final de la línea. Suponiendo que todos tienen igual probabilidad de bajarse en cualquier parada, halla las probabilidades siguientes:

    a) que esas cuatro personas se bajen en la misma parada

    b)que no se baje inguna de ellas en las primeras tres paradas

    c)que en las primeras cuatro paradas baje una de esas personas en cada parada


    gracias!1!!!

    replythumb_up0 voto/sflag
    icon

    César
    el 18/3/19


    thumb_up0 voto/sflag