Foro de preguntas y respuestas de Matemáticas

logo beUnicoos
Los foros de unicoos se han unificado en nuestra nueva plataforma beUnicoos. Para dejar nuevas preguntas deberás hacerlo allí, donde además podrás encontrar nuevas asignaturas y herramientas para ayudarte más con tus estudios.

  • icon

    Leyre
    el 9/3/19

    Por que el denominador de la fracción rodeada pasa a 2/3

    replythumb_up0 voto/sflag
    icon

    César
    el 9/3/19

    pon foto para

    verlo


    thumb_up0 voto/sflag
  • icon

    Maria
    el 9/3/19

    Alguien me podría ayudar con este problema de cónicas por favor? (El 20)


    replythumb_up0 voto/sflag
    icon

    César
    el 9/3/19


    thumb_up1 voto/sflag
  • Usuario eliminado
    el 9/3/19

    Hola a todos!

    No entiendo un ejercicio y necesito ayuda..

    Halla los valores de a y b para que la gráfica de la función f(x) = x2 + ax + b  tenga una tangente de ecuación y = 3x + 14 en x = -2

    Muchísimas gracias de antemano!!

    replythumb_up0 voto/sflag
    icon

    Antonio
    el 9/3/19

    f(x) = x2 + ax + b 

    por un lado

    f(-2) = 4 - 2a + b

    y = 3x + 14

    y(-2) = 8
    f(-2) = y(-2) => 4 - 2a + b = 8 

    por otro lado

    f'(x) = 2x + a

    f'(-2) = a - 4

    y = 3x + 14

    m= 3

    f'(-2) = m => a - 4 = 3 => a=7

    4 - 2a + b = 8 => b = 18 

    thumb_up0 voto/sflag
  • icon

    inpernu
    el 9/3/19

    Hola Antonio, para hacer estos problemas tengo que hacer a mano todas las combinaciones posibles de los dos dados y luego ver cuál de las 36 la suma da 9? (te dejo por siacaso loq ue me constestaste, porque no sé si hago bien perdiendo el tiempo haciendo la s36, o hay alguna forma de aunque no utilices fórmula verlo fácil...gracias!!!!


    Hola!! tengo esta duda en probabilidad, en la ley de laplace: "en el lanzamiento de dos daddos, calcula P(A) si A es: suma de caras igual a 9. ".

    como Laplace hay que dividir el número de sucesos favorables al suceso entre en número de sucesos totales, yo he calculado los sucesos totales que son 36 (porque he hecho de combinatoria una variación de 6 a la 2), pero ¿cómo se calcula lo de que la suma de sus caras sea igual a 9??? Gracias!!!!

    Hay estos casos a favor:

    (3,6),(4,5),(5,4) y (6,3).

    replythumb_up0 voto/sflag
    icon

    Carlos Fernández
    el 9/3/19

    Los casos favorables divididos entre los totales


    P(A)=4/36=1/9


    thumb_up0 voto/sflag
  • icon

    Y3
    el 9/3/19

    Quién me ayuda por favor, no sé cómo seguir

    replythumb_up0 voto/sflag
    icon

    Uriel Dominguez
    el 9/3/19

    Te comiste el menos uno, entonces queda como 1/2(1/2x), desarrolla eso y verás que sí da x.

    thumb_up0 voto/sflag
  • icon

    Anas Zine
    el 9/3/19

    Hola. Tengo el lunes un examen de matemáticas en el que entra un apartado de ecuaciones trigonométricas y me gustaría saber cuantas son en total o cuales son las imprescindibles para un nivel de 1º de Bachillerato ya que en clase la profesora dicta un montón de fórmulas, pero luego no hacemos ningún ejercicio y tampoco nos aclara en que momento hay que usarlas. Agradecería mucho una ayudita :)

    replythumb_up0 voto/sflag
  • icon

    Jose
    el 9/3/19

    Hola buenas, como se haria este ejercicio?



    replythumb_up0 voto/sflag
    icon

    Antonius Benedictus
    el 9/3/19


    thumb_up0 voto/sflag
  • icon

    Y3
    el 9/3/19

    Lo tengo bien? Gracias

    replythumb_up0 voto/sflag
    icon

    César
    el 9/3/19



    thumb_up0 voto/sflag
    icon

    Y3
    el 9/3/19

    Puse eso en el examen y me dijo que no era así :(

    thumb_up0 voto/sflag
  • icon

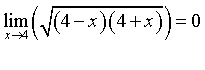
    Jose
    el 9/3/19

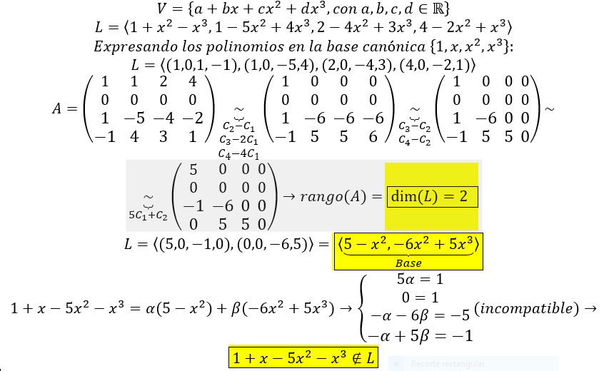
    Alguien podría ayudarme con este ejercicio?



    replythumb_up0 voto/sflag
    icon

    Antonius Benedictus
    el 9/3/19


    thumb_up0 voto/sflag
  • Usuario eliminado
    el 9/3/19

    hola unicoos, buen día, tengo un problema con esta integral, me podrías ayudar por favor. seria de gran ayuda, gracias.


    replythumb_up0 voto/sflag
    icon

    Antonius Benedictus
    el 9/3/19


    WOLFRAM da esto:


    thumb_up0 voto/sflag