buenas tarde tengo dos problemas que no consigo resolver, no se si estarán bien planteados.
1.- Un tendero, para comprar una determinada cantidad de kilos de naranjas utilizo 125 euros. Después, tuvo que apartar 20 kilos de naranjas que se habían estropeado. las que quedaron las ha vendido , por kilo, 0,40 euros más caro que el precio al que las compro, recogiendo por la venta 147 euros. ¿Cuántos kilos de naranjas compro el tendero?
x + y = 125
(x - 20)*(y + 0,40)= 147
Hola ,alguien me puede ayudar con este problema ?que no sé ni por dónde cogerlo
En el segmento de la parábola comprendido entre los
puntos A = (1, 1) y B = (3, 0) hallar un punto cuya tangente sea paralela la
cuerda. Los puntos A = (1, 1) y B = (3, 0) pertenecen a la parábola de ecuación
y = x3 + bx + c

con los dos puntos sacas
y(1)=1 -----------> 1=1+b+c
y(0)=3 -----------> 0=27+3b+c
Te que un sistema de dos ecuaciones con dos incógnitas
b+c=0
3b+c=-27
que da que b=-27/2 y c=27/2
por lo que la ecuación es y=x^3 +bx +c
La recta que pasa por los dos puntos tiene la pendiente m=(yA-yB)/(xA-xB) =(1-3)/(1-0)=-2
La deriva de la función es
y'=3x^2-27/2
Para que la tengente de la curva sea paralela a la cuerda y'=-2
Por lo que
-2=3x^2-27/2
te queda una ecuación de segundo grado con soluciones x1=√23/6 y x2=-√23/6
por tanto las soluciones serían dos puntos
(√23/6 , y(√23/6)) y
(-√23/6 , y(-√23/6))
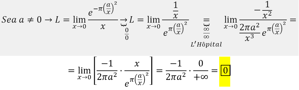
Hola quisiera saber si sabéis como demostrar la siguiente igualdad
∫e^(-π*(x-i)^2) dx=1, de menos infinito a infinito
Muchas gracias de antemano
Buenas tardes! Tengo un par de problemas de probabilidad que no estoy muy segura de que hacer para resolverlos.
Problema 1: En la asignatura de literatura se da una lista de 8 libros de los cuáles hay que leer 5. ¿Cuántos grupos distintos de libros para leer pueden hacerse?
Para solucionar el problema ¿habría que utilizar la regla de Laplace?
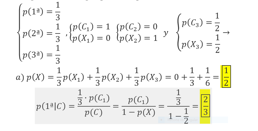
Problema 2. Se tienen 3 monedas: una con dos caras, otra con dos cruces y la tercera con una cara y una cruz. Se elige una moneda al azar y se lanza al suelo.
a) ¿Cuál es la probabilidad de que salga cruz?
b) Si ha salido cara ¿cuál es la probabilidad de que en la parte de abajo haya otra cara?
En este problema no estoy nada segura de como se haría, me ayudaría mucho si me pudiesen enviar algún video de algún problema parecido.
Muchísimas gracias