Foro de preguntas y respuestas de Matemáticas

logo beUnicoos
Los foros de unicoos se han unificado en nuestra nueva plataforma beUnicoos. Para dejar nuevas preguntas deberás hacerlo allí, donde además podrás encontrar nuevas asignaturas y herramientas para ayudarte más con tus estudios.

  • icon

    Roberto Mulas García
    el 8/3/19

    Hola, me piden hallar la ecuación general de la mediatriz entre los puntos A(2,1) y B(8,5), finalmente me dio como resultado: 3x+2y-21=0. Estaría bien? gracias.

    replythumb_up0 voto/sflag
    icon

    Antonius Benedictus
    el 8/3/19

    Vector(AB)=(6,4)=2(3,2) es perpendicular a la recta obtenida.

    Punto medio de AB= M(5,3)  pertenece a la recta obtenida.

    ¡Resultado perfecto!

    thumb_up0 voto/sflag
  • icon

    Quiroga
    el 8/3/19

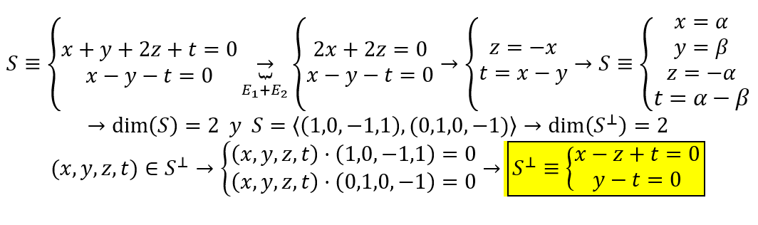
    Buenas alguien me puede explicar que tengo que hacer en el apartado c? Gracias!. 

    c) Determinar las ecuaciones de S perpendicular. 

     

    replythumb_up0 voto/sflag
    icon

    César
    el 8/3/19

    ¡Hola! Nos encantaría ayudarte, pero no solemos responder dudas universitarias que no tengan que ver específicamente con los vídeos que David Calle ha grabado como excepción. O de otras asignaturas que no sean Matemáticas, Física y Química. Lo sentimos de corazón… Esperamos que  lo entiendas.

    Ojalá algún unicoo universitario se anime a ayudarte (de hecho, lo ideal es que todos los universitarios intentarais ayudaros los unos a los otros)

    thumb_up0 voto/sflag
    icon

    Antonius Benedictus
    el 8/3/19


    thumb_up1 voto/sflag
  • icon

    Pilar
    el 8/3/19

    Buenas ,alguien me puede ayudar con esta función ,ya que al ser n y m distintos números no sé como hacerlo 

    replythumb_up0 voto/sflag
    icon

    César
    el 8/3/19


    thumb_up1 voto/sflag
    icon

    Antonius Benedictus
    el 8/3/19


    thumb_up1 voto/sflag
  • icon

    Tere Arema
    el 8/3/19

    alguien me puede ayudar.no soy capaz de que me de bien.

    replythumb_up0 voto/sflag
    icon

    Antonius Benedictus
    el 8/3/19


    thumb_up1 voto/sflag
    icon

    Antonius Benedictus
    el 8/3/19


    thumb_up1 voto/sflag
    icon

    Tere Arema
    el 8/3/19

    muchisimas gracias

    thumb_up0 voto/sflag
    icon

    Tere Arema
    el 8/3/19

    muchas gracias.ya decia yo que no tenia sentido.

    thumb_up1 voto/sflag
  • icon

    Tito Indigo
    el 8/3/19

    Buenas,

    Estoy haciendo un ejercicio sobre variable aleatoria discreta, el enunciado dice lo siguiente:

    Una mercería reparte su producto a 10 clientes habituales, independientemente, cada cliente hará un pedido en un cierto día con una probabilidad de 35%, pedimos:

    a) Encuentra la cantidad más probable de pedidos por día y la probabilidad de esa cantidad de pedidos, (distribución Binomial).

    Para el este apartado he encontrado algunos ejercicos resueltos y veo el siguiente planteamiento:

     cantidad más probable --> n*p-q =< m =< n*p+p --> 10 * 0.35 - 0.65 =< m =< 10 * 0,35 + 0,35 --> 2.85 =< m =< 3.85

     la cantidad más probable sería 3. y la luego la fórmula de la probabilidad en distribución Binomial P(x=3).

     El problema es que no entiendo de dónde sale: n*p-q =< m =< n*p+p

     

     b) Calcula el valor esperado de la cantidad de pedidos por día. 

     Entiendo que aquí habría que calcular E(X)=n*p=10*0.35=3.5

     

     Os parece correcto?

     Gracias.

    replythumb_up0 voto/sflag
    icon

    Antonius Benedictus
    el 8/3/19

    La esperanza está bien calculada.

    thumb_up1 voto/sflag
    icon

    Tito Indigo
    el 8/3/19

    Muchas Gracias! :) sois geniales!

    thumb_up1 voto/sflag
  • icon

    Juan Aquino
    el 8/3/19

    hola como estan?? queria saber si me podian ayudar con este ejercicio de estructura algebraica y si me lo puden explicar mejor gracias

    (z,*) tal que  a*b=ab+2 derminar si es un grupo abeliano 

    replythumb_up0 voto/sflag
    icon

    Antonius Benedictus
    el 8/3/19


    thumb_up1 voto/sflag
  • icon

    Haizea
    el 7/3/19


    El otro problema es:

    Un agricultor tiene plantados tres tipos de manzanos, A, B y C. Los manzanos de tipo A dan una media de 50 kg. de manzanas al año; los del tipo B 8,30 kg. y los del tipo C 40 kg.

    Este año se han recogido 230 toneladas de manzanas y nos han dado la siguiente información:

        Si se hubiesen quitado  todos los manzanos de tipo B y se hubiesen puesto en su lugar del tipo A se habrían recogido 250 t. de manzanas.

        si se hubieran quitado todos los manzanos del tipo C y se hubieran puesto en su lugar del tipo B se habrían recogido 200 t. de manzanas.

    ¿Cuántos manzanos de cada tipo tiene plantado ?

    50x + 30y + 40z = 23000

    100x - 30y + 40z =25000

    50x + 60y -40z = 20000

    replythumb_up0 voto/sflag
    icon

    Carlos Fernández
    el 8/3/19


    thumb_up1 voto/sflag
  • icon

    Haizea
    el 7/3/19



    buenas tarde tengo dos problemas que no consigo resolver, no se si estarán bien planteados.

    1.- Un tendero, para comprar una determinada cantidad de kilos de naranjas utilizo 125 euros. Después, tuvo que apartar 20 kilos de naranjas que se habían estropeado. las que quedaron las ha vendido , por kilo, 0,40 euros más caro que el precio al que las compro, recogiendo por la venta 147 euros. ¿Cuántos kilos de naranjas compro el tendero?

    x + y = 125

    (x - 20)*(y + 0,40)= 147

    replythumb_up0 voto/sflag
    icon

    Carlos Fernández
    el 8/3/19

    x son los kilos de naranjas comprados e y el precio por el que se compra el kilo

    x . y = 125

    (x - 20)*(y + 0,40)= 147

    Resolviendo el sistema de ecuaciones:

    x=125kg

    y=1€/kg


    thumb_up1 voto/sflag
  • icon

    Haizea
    el 7/3/19

    El otro problema es:

    Un agricultor tiene plantados tres tipos de manzanos, A, B y C. Los manzanos de tipo A dan una media de 50 kg. de manzanas al año; los del tipo B 8,30 kg. y los del tipo C 40 kg.

    Este año se han recogido 230 toneladas de manzanas y nos han dado la siguiente información:

        Si se hubiesen quitado  todos los manzanos de tipo B y se hubiesen puesto en su lugar del tipo A se habrían recogido 250 t. de manzanas.

        si se hubieran quitado todos los manzanos del tipo C y se hubieran puesto en su lugar del tipo B se habrían recogido 200 t. de manzanas.

    ¿Cuántos manzanos de cada tipo tiene plantado ?

    50x + 30y + 40z = 23000

    100x - 30y + 40z =25000

    50x + 60y -40z = 20000

    replythumb_up0 voto/sflag
    icon

    César
    el 7/3/19

    quitar significa no contabilizar


    thumb_up0 voto/sflag