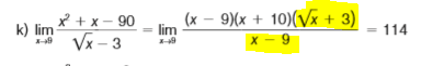
Bien, tienes en el denominador una raíz cuadrada, y si evalúas el límite puedes notar que se indetermina, para resolver este tipo de límites con raíces cuadradas se suele multiplicar tanto arriba como abajo por el conjugado para así eliminar la indeterminación, espero te sirva lo que te digo y la solución con todo el procedimiento. ![]()
En los ejercicios de optimizacion cuando hay que maximizar una área o un perímetro y cuando hay que minimizarla el procedimiento es exactamente el mismo, no? O hay alguna diferencia, porque los que he hecho hay que hacer exactamente lo mismo: sacas la fórmula, la fracción de relación entre las incógnitas, sustituyes despejando una de las incógnitas para que te quede la misma, derivas la fórmula y la igualas a cero.

¡Hola! Nos encantaría ayudarte, pero no solemos responder dudas universitarias que no tengan que ver específicamente con los vídeos que David Calle ha grabado como excepción. O de otras asignaturas que no sean Matemáticas, Física y Química. Lo sentimos de corazón… Esperamos que lo entiendas.
Ojalá algún unicoo universitario se anime a ayudarte (de hecho, lo ideal es que todos los universitarios intentarais ayudaros los unos a los otros).