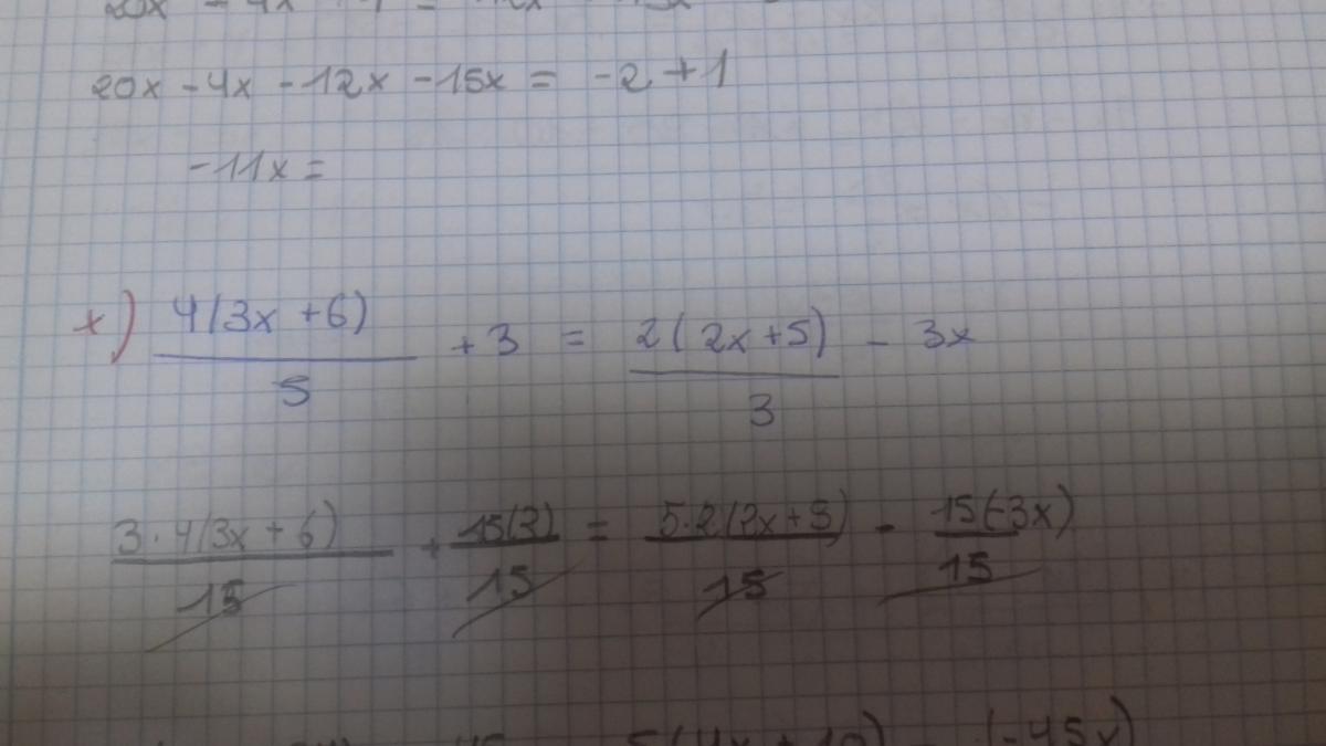
Hola, tengo una duda con un ejercicio de matemáticas, una ecuación de primer grado.
La ecuación es la que pone: "x)"
Mi duda es la siguiente..cuando haces la ecuación hay que hallar el factor común para hacer la división/fracción, y cuando lo hallas divides ese número entre el que aparece en la fracción original es decir, en el caso de este ejercicio:
Factor común: 15
15÷5=3
Hasta ahí bien, ahora tengo que hacer la multiplicación:
4(3x+6) pero tengo el 3...entonces es: 3×4(3x+6)
4(3x+6)= 12x+24
3(12x+24)
Por favor, necesito ayuda con esto, no sé si está bien como dije o es de otra forma...¡Gracias!
Buenas, tengo dificultades para resolver las siguientes actividades: Prácticamente no se que debo averiguar o aplicar, si alguien conoce algún video o algún libro que pueda usar como guía, seria estupendo... O si alguien no le molesta decirme que debo hacer, también se lo agradecería!
Saludos.

¡Hola! Nos encantaría ayudarte, pero no solemos responder dudas universitarias que no tengan que ver específicamente con los vídeos que David Calle ha grabado como excepción. O de otras asignaturas que no sean Matemáticas, Física y Química. Lo sentimos de corazón… Esperamos que lo entiendas.
Ojalá algún unicoo universitario se anime a ayudarte (de hecho, lo ideal es que todos los universitarios intentarais ayudaros los unos a los otros).

8)
Tienes un conjunto generador con tres elementos, que son polinomios de grado dos.
Luego, planteas la "combinación lineal nula" a fin de determinar si son linealmente independientes, o si no lo son, y queda:
A*(x2+7x+4) + B*(-2x2-8x-5) + C*(3x2+9x+6) = 0 (*),
distribuyes en todos los términos, asocias términos semejantes, escribes al polinomio nulo como polinomio de grado dos, y queda la igualdad entre polinomios:
(A-2B+3C)*x2 + (7A-8B+9C)*x + (4A-5B+6C) = 0x2 + 0x + 0;
luego, por igualdad entre polinomios, igualas coeficientes de términos de igual grado, y queda el sistema de tres ecuaciones con tres incógnitas:
A - 2B + 3C = 0, de aquí despejas: A = 2B - 3C (1),
7A - 8B + 9C = 0,
4A - 5B + 6C = 0;
luego, sustituyes la expresión señalada (1) en las dos últimas ecuaciones, distribuyes, reduces términos semejantes, y el sistema queda:
6B - 12C = 0, de aquí despejas: B = 2C (2),
3B - 6C = 0;
luego, sustituyes la expresión señalada (2) en la última ecuación, resuelves, y queda:
0 = 0, que es una identidad verdadera, por lo que tienes que el sistema es compatible indeterminado;
luego, sustituyes la expresión remarcada y señalada (2) en la ecuación señalada (1), resuelves, y queda: A = C (3);
luego, con las ecuaciones señaladas (3), (2), tienes que las expresión genérica de las infinitas soluciones queda:
A = C,
B = 2C,
C ∈ R;
y también tienes que el conjunto generador no es linealmente independiente;
luego, descartas el elemento ligado al coeficiente indeterminado (C) en la ecuación vectorial señalada (*), y tienes que una base del espacio vectorial W es el conjunto:
B = { x2+7x+4 , -2x2-8x-5 }, cuyo cardinal (cantidad de elementos) es: |B| = 2,
por lo que tienes que el espacio vectorial W tiene dimensión dos.
Espero haberte ayudado.

9)
Tienes un conjunto generador con tres elementos, que son polinomios de grado dos.
Luego, planteas la "combinación lineal nula" a fin de determinar si son linealmente independientes, o si no lo son, y queda:
A*(3x+1) + B*(3x2+x) + C*(mx2+1) = 0 (*),
distribuyes en todos los términos, asocias términos semejantes, escribes al polinomio nulo como polinomio de grado dos, y queda la igualdad entre polinomios:
(3B+mC)*x2 + (3A+B)*x + (A+C) = 0x2 + 0x + 0;
luego, por igualdad entre polinomios, igualas coeficientes de términos de igual grado, y queda el sistema de tres ecuaciones con tres incógnitas:
3B + mC = 0,
3A + B = 0, de aquí despejas: B = -3A (1)
A + C = 0;
luego, sustituyes la expresión señalada (1) en las otras dos ecuaciones (en realidad, solo en la primera), resuelves, y el sistema queda:
-9A + mC = 0,
A + C = 0, de aquí despejas: C = -A (2);
luego, sustituyes la expresión señalada (2) en la primera ecuación, resuelves, y queda:
-9A - mA = 0, extraes factor común, y queda:
-A(9 + m) = 0, y para que tengas una Identidad Verdadera (recuerda el ejercicio anterior) debe cumplirse la condición:
9 + m = 0, y de aquí despejas: m = -9,
y para este último valor tienes que el sistema es compatible indeterminado;
luego, con las ecuaciones señaladas (1), (2), tienes que las expresión genérica de las infinitas soluciones queda:
A ∈ R,
B = -3A,
C = -A;
y también tienes que el conjunto generador no es linealmente independiente;
luego, descartas el elemento ligado al coeficiente indeterminado (A) en la ecuación vectorial señalada (*), y tienes que una base del espacio vectorial J es el conjunto:
B = { 3x2+x , -9x2+1 }, cuyo cardinal (cantidad de elementos) es: |B| = 2,
por lo que tienes que el espacio vectorial J tiene dimensión dos.
Espero haberte ayudado.

Tienes un conjunto generador con tres elementos, que son polinomios de grado dos.
Luego, planteas la "combinación lineal nula" a fin de determinar si son linealmente independientes, o si no lo son, y queda:
A*(x2+7x+4) + B*(-2x2-8x-5) + C*(3x2+9x+6) = 0 (*),
distribuyes en todos los términos, asocias términos semejantes, escribes al polinomio nulo como polinomio de grado dos, y queda la igualdad entre polinomios:
(A-2B+3C)*x2 + (7A-8B+9C)*x + (4A-5B+6C) = 0x2 + 0x + 0;
luego, por igualdad entre polinomios, igualas coeficientes de términos de igual grado, y queda el sistema de tres ecuaciones con tres incógnitas:
A - 2B + 3C = 0, de aquí despejas: A = 2B - 3C (1),
7A - 8B + 9C = 0,
4A - 5B + 6C = 0;
luego, sustituyes la expresión señalada (1) en las dos últimas ecuaciones, distribuyes, reduces términos semejantes, y el sistema queda:
6B - 12C = 0, de aquí despejas: B = 2C (2),
3B - 6C = 0;
luego, sustituyes la expresión señalada (2) en la última ecuación, resuelves, y queda:
0 = 0, que es una identidad verdadera, por lo que tienes que el sistema es compatible indeterminado;
luego, sustituyes la expresión remarcada y señalada (2) en la ecuación señalada (1), resuelves, y queda: A = C (3);
luego, con las ecuaciones señaladas (3), (2), tienes que las expresión genérica de las infinitas soluciones queda:
A = C,
B = 2C,
C ∈ R;
y también tienes que el conjunto generador no es linealmente independiente;
luego, descartas el elemento ligado al coeficiente indeterminado (C) en la ecuación vectorial señalada (*), y tienes que una base del espacio vectorial W es el conjunto:
B = { x2+7x+4 , -2x2-8x-5 }, cuyo cardinal (cantidad de elementos) es: |B| = 2,
por lo que tienes que el espacio vectorial W tiene dimensión dos.
Espero haberte ayudado.
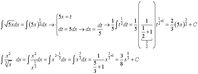
Buenas, cómo se harían las siguientes integrales
∫ √(5x)dx
∫ (x2 / ∛x) dx