Foro de preguntas y respuestas de Matemáticas

logo beUnicoos
Los foros de unicoos se han unificado en nuestra nueva plataforma beUnicoos. Para dejar nuevas preguntas deberás hacerlo allí, donde además podrás encontrar nuevas asignaturas y herramientas para ayudarte más con tus estudios.

  • icon

    Uriel Dominguez
    el 1/3/19
    flag

    Me ayudan con ese? Por favor 

    replythumb_up0 voto/sflag
    icon

    David
    el 7/3/19

    Lo siento pero no entiendo el enunciado.... ¿a qué tema o lección pertenece?  ¿alguna pista al respecto? Un abrazo!

    thumb_up1 voto/sflag
    icon

    Uriel Dominguez
    el 7/3/19

    Pues en clase nos dijeron que el tema es "Base, vector de coordenadas, matriz de transición" de álgebra lineal, se me está complicando muchísimo algunos temas ya que va demasiado rápido en cuanto a lo que aborda mi maestra.

    thumb_up0 voto/sflag
  • icon

    Bruno
    el 1/3/19
    flag

    Me pueden ayudar con el punto 5 porfavor



    replythumb_up0 voto/sflag
    icon

    David
    el 7/3/19

    Lo siento pero no podemos ayudaros con ejercicios de este tipo. Espero entiendas que unicoos se queda en bachiller en lo que respecta a los foros. Un abrazo!

    thumb_up0 voto/sflag
  • icon

    Alan Mora
    el 1/3/19

    Necesito ayuda con este ejercicio, "el 30% de los clientes de un banco poseen cuenta de ahorro además de su cuenta corriente, si en un día han concurrido 200 clientes, cuál es la probabilidad de que entre 65 y 67 clientes tengan cuenta de ahorro? Rta=0,21021" creo que se debe resolver con la distribución de probabilidad normal, pero no logro llegar al resultado. 

    replythumb_up0 voto/sflag
    icon

    Antonius Benedictus
    el 1/3/19


    thumb_up1 voto/sflag
    icon

    Alan Mora
    el 1/3/19

    Muchas gracias, la respuesta del inciso está mal entonces. 

    thumb_up0 voto/sflag
  • icon

    Alan Mora
    el 1/3/19

    Hola, tengo una consulta, "el 1% de las unidades fabricadas en un taller son defecuosas, calcular la probabilidad de que en una muestra aleatoria de 100 unidades contenga más de 5 unidades defecuosas, rta=0.0006" intenté resolverla con la distribución de probabilidad binomial, y de otras formas pero no logro llegar a la respuesta del inciso.

    replythumb_up0 voto/sflag
    icon

    César
    el 1/3/19

    https://www.wolframalpha.com/input/?i=P(x%3E5%5D+BinomialDistribution+++%5B100,0.01%5D


    thumb_up0 voto/sflag
  • icon

    Juan David Rodríguez González
    el 28/2/19

    Resolver pasó a pasó esto por favor:

    replythumb_up0 voto/sflag
    icon

    César
    el 28/2/19


    thumb_up1 voto/sflag
  • icon

    Mary Poppins
    el 28/2/19

    ¿Me podrían ayudar con este ejercicio? Tengo que aplicar las razones trigonométricas de triángulos rectos pero no sé como hacerlo: En una circunferencia de radio 6 cm trazamos una cuerda AB a 3 cm del centro O. Halla el ángulo AOB.

    replythumb_up0 voto/sflag
    icon

    César
    el 28/2/19


    thumb_up1 voto/sflag
    icon

    Mary Poppins
    el 28/2/19

    Muchas gracias.

    thumb_up0 voto/sflag
  • icon

    Juan David Rodríguez González
    el 28/2/19

    no me salen ninguna de esas respuestas, me gustaría saber el proceso exacto para llegar a ellas.


    replythumb_up0 voto/sflag
    icon

    Antonio
    el 28/2/19

    Es la tercera opción

    la división de un polinomio de grado 5 entre uno de grado 3 da como resultado uno de grado 2

    thumb_up1 voto/sflag
    icon

    Antonius Benedictus
    el 28/2/19


    thumb_up1 voto/sflag
  • icon

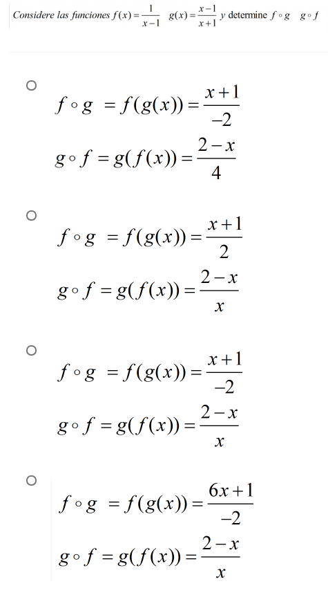
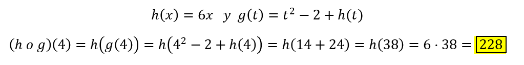
    Josep Viana
    el 28/2/19

    Buenas!!

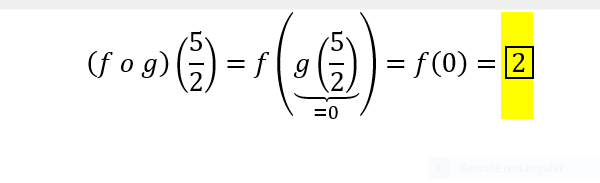
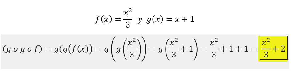
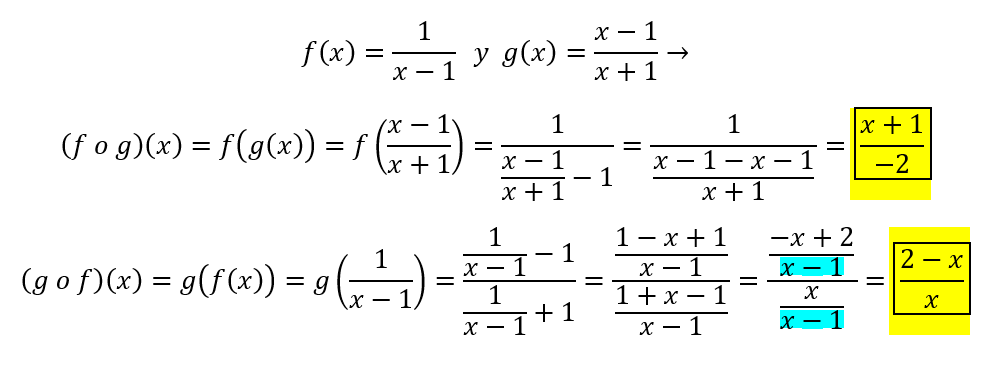
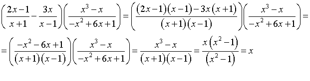
    Estoy en composición de funciones de 4º de ESO, y en el examen me he encontrado con unas preguntas que he sido incapaz de responder, ya que David no lo explica en el vídeo.

    Listo a continuación los ejercicios y el resultado, espero obtener vuestra ayuda para saber como se desarrolla el ejercicio.


    EJERCICIO 1




    EJERCICIO 2




    EJERCICIO 3







    EJERCICIO 4





    Muchas gracias!!













    replythumb_up0 voto/sflag
    icon

    Antonius Benedictus
    el 28/2/19

    El 1º:


    thumb_up0 voto/sflag
    icon

    Antonius Benedictus
    el 28/2/19

    El 2º


    thumb_up0 voto/sflag
    icon

    Antonius Benedictus
    el 28/2/19

    En  el 3º el enunciado tiene ERROR:  Donde pone h debería poner f.


    thumb_up0 voto/sflag
    icon

    Antonius Benedictus
    el 28/2/19

    En este último, la solución no aparece:


    thumb_up0 voto/sflag
  • icon

    Paula
    el 28/2/19

    Ecuación exponencial:

    4^x+1  +   2^x+3   = 320

    replythumb_up0 voto/sflag
    icon

    Antonius Benedictus
    el 28/2/19


    thumb_up1 voto/sflag
  • icon

    Ana Paola Sánchez Izquierdo
    el 28/2/19

    Alguien que me pueda ayudar a resolver estos problemas, tengo que plantear las ecuaciones y dar el resultado.

    1.-Una lancha de motor requirió una hora más para viajar 60 millas contra la corriente de lo que requirió para avanzar 60 millas con la corriente. La velocidad de la corriente era 1mph. Calcula la velocidad de la lancha en aguas en calma.

    2.- Un corredor recorrió 7 millas a una velocidad constante y después la redujo 3 mph. Corrió 8 millas adicionales a la velocidad reducida. El tiempo total que transcurrió corriendo las 15 millas fue 3 horas. Calcula la velocidad de las últimas 8 millas.

    replythumb_up0 voto/sflag
    icon

    Antonio
    el 28/2/19

    Sea v la velocidad de la lancha en aguas tranquilas

    además sabemos que t=e/v

    Calculemos el tiempo que tarda en ir la lancha contra corriente:

    la velocidad sería igual a la de la lancha - 1, es decir v-1

    tc=60/(v-1)

    Calculemos el tiempo que tarda en ir a favor de la corriente:

    la velocidad sería igual a la de la lancha + 1, es decir v+1

    tf=60/(v+1)

    por otro lado, sabemos que el tiempo que tarda en ir la lancha contra corriente es una hora más que el tiempo que tarda en ir a favor de la corriente, por lo tanto:

    tc=tf + 1

    60/(v-1) = 60/(v+1) + 1

    resolvemos esta ecuación racional:

    ...

    v = 11 mph


    thumb_up0 voto/sflag
    icon

    Antonio
    el 28/2/19

    Sea v la velocidad del corredor en las últimas 8 millas

    por lo que en las primeras 7 millas fue de v+3

    por otro lado el tiempo se calcula como t=e/v

    en tiempo que tardó en recorrer las primeras 7 millas fue de :

    t7= 7/(v+3)

    en tiempo que tardó en recorrer las últimas 8millas fue de :

    t8= 8/v

    además sabemos que tardó en total 3 horas, es decir:

    t7 + t8= 3

    7/(v+3) + 8/v =3

    resolvemos:

    ...

    v = 4 mph

    thumb_up0 voto/sflag