
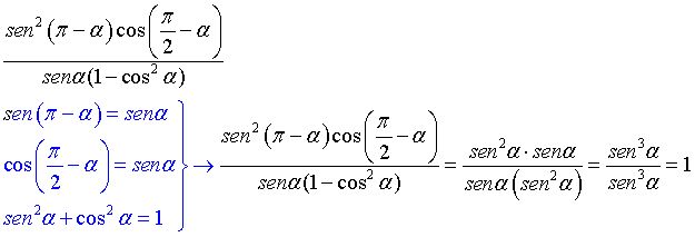
Vamos con una orientación.
Recuerda las identidades:
1) sen(π-α) = senα (seno del suplementario de un ángulo),
2) cos(π/2-α) = senα (coseno del complementario de un ángulo),
3) 1 - cos2α = sen2α (expresión del cuadrado del seno en función del cuadrado del coseno).
Luego, tienes la expresión:
sen2(π-α)*cos(π/2-α) / ( sen2α*(1 - cos2α) ) =
sustituyes la expresión señalada (1) en la base de la potencia del primer factor del numerador,
sustituyes la expresión señalada (2) en el segundo factor del numerador,
sustituyes la expresión señalada (3) en el segundo factor del denominador, y queda:
= sen2α*senα / ( senα*sen2α ) =
resuelves el numerador, resuelves el denominador, y queda:
= sen3α / sen3α =
simplificas, y queda:
= 1.
Espero haberte ayudado.

Resuelves el último término (18/3 = 6), y queda:
5,25 = 12x/(1,5+x) - 6,
sumas 6 en ambos miembros, y queda:
11,25 = 12x/(1,5+x),
multiplicas en ambos miembros por (1,5+x) (observa que x no puede tomar el valor -1,5), y queda:
11,25*(1,5+x) = 12x,
distribuyes el primer miembro, y queda:
16,875 + 11,25x = 12x,
restas 12x y restas 16,875 en ambos miembros, y queda:
-0,75x = -16,875,
divides por -0,75 en ambos miembros, y queda:
x = 22,5.
Espero haberte ayudado.
Buenas!!
Estoy en composición de funciones de 4º de ESO, y en el examen me he encontrado con unas preguntas que he sido incapaz de responder, ya que David no lo explica en el video.
Listo a continuación los ejercicios y el resultado, espero obtener vuestra ayuda para saber como se desenvolupa el ejercicio.
Ejercicio 1: Si h(x)=6x y g(t)=t2-2+h(t) Calcular hog(4) Resultado: 132
Ejercicio 2: f(x)= 1/x-1 g(x)= x-1/x+1 Halla fog y gof Resultado: fog(x)= x+1/-2 gof(x)= 2-x/x
Ejercicio 3: Sea g(x)= 2x2-5 y h(y)= (y-1)2 Calcular hog(2) Resultado: -3
Siento mucho las molestias,
Un saludo!
Hola, buenas tardes.
No sé como averiguar el término de mayor grado de la función que está en el denominador para solucionar la indeterminación ∞/∞.
¿me podríais ayudar?
¡Gracias!
Lo único que necesito comprobar es sí la media, mediana y moda están correctas!
gracias!

Hola, te debe de faltar un cero en xi = 4, porque la suma de las probabilidades tiene que ser 1. Sería p (4) = 0,05.
La mediana sería 1, ya que F es frecuencia absoluta acumulada, y el primer dato que tiene F ≥ 0,5 es el de x = 1. Para calcular la frecuencia absoluta acumulada de cada dato, se suma la frecuencia de ese dato con las frecuencias de los datos anteriores. En este caso se van sumando las probabilidades.
La moda sería por tanto 0, ya que es el que tiene mayor frecuencia, o probabilidad en este caso (0,4).
Y la media sería: E[x] = 0 · 0,4 + 1 · 0,3 + 2 · 0,15 + 3 · 0,10 + 4 · 0,05 = 1,1
Te adjunto una imagen con una tabla por si te ayuda. Saludos.