Hola me dicen como derivar esta funcion?
y= 4X-1/2x2

La 1ª familia la constituyen las rectas que pasan por el punto (1,3) y la 2ª las circunferencias concéntricas con centro (1,3) (para c_2 >0).
Cada una de las rectas que pasan por el centro de una circunferencia es perpendicular a las rectas tangentes en los dos puntos en los que corta a la circuunferencia.
Parece pues que la afirmación es válida.

Si tu tienes x^2/x(x+1) puedes hacer lo siguiente x^2/x^2+x que es solamente multiplicar x, entonces una vez hecho esto divides todo al mayor exponente que en este caso es x^2, por lo tanto, x^2 / x^2 = 1
(x^2+x)/x^2 = 1+ 1/x entonces te queda esta expresión 1/(1+1/x). Entonces ya puedes evaluar el limite, lim x-> infinito 1/(1+1/x), sabemos que 1/infinito = 0 por lo tanto te quedaría 1/1 = 1
Hola! Tengo que hacer un ejercicio sin la ayuda del profesor. Nos dijo que podíamos consultar cualquier libro, Internet... para hacer el ejercicio, ya que nunca hemos hecho uno igual. ¿Me podrías ayudar?
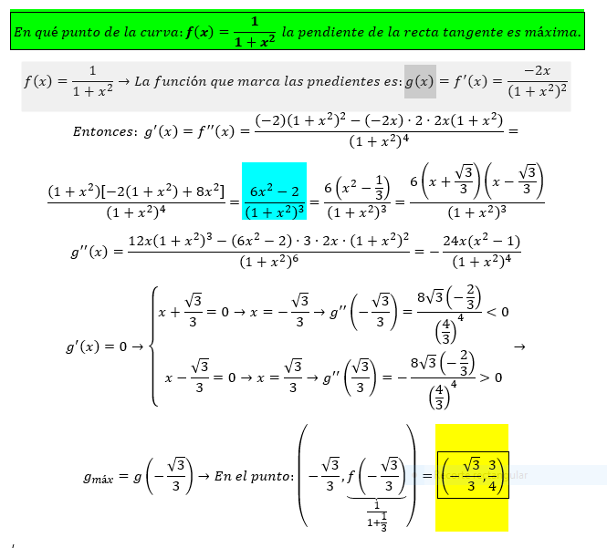
El ejercicio dice así: calcula en la curva de y=1/1+x2 (es un dos pequeño encima de la x) en qué punto será el el pendiente máximo del tangente.

En cualquier texto de 2º de Bachiller.
La pendiente de una curva la va marcando la derivada.
Entonces, tienes que estudiar la FUNCIÓN DERIVADA.
Y si su derivada es 0 y la segunda derivada es negativa, hay máximo.
PÁGINA 15:
http://www.apuntesmareaverde.org.es/grupos/mat/Bachillerato/BC2%2009%20Funciones.pdf