Buenas tardes,
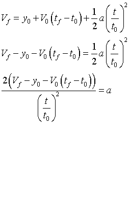
Estoy intentando hacer un ejercicio de fisica, realmente estoy perdido con la formula me piden aislar la (a) acceleración, ja que tengo los datos de tiempo y h, la formula que me dan es esta y no se por donde empezar yf=y0+v0*(tf-t0)+1/2*a*(t/t0)2
alguien me puede ayudar a entender como despejar la (a).
gracais de anteman.
Tengo una duda con respecto a Campo, mi duda es que dice el axioma 8 que existe inverso siempre y cuando este sea diferente de 0 pero es para la operación de multiplicación, mi duda es, ese axioma se aplica siempre para la relación de multiplicación o siempre es para la segunda relación aún cuando esta sea una suma? ![]()

En un campo C tiene que haber dos operaciones:
PRIMERA (que suele ser +; pero no necesariamente), respecto de la cual es un grupo abeliano, con cierto "neutro" e (suele ser 0)
SEGUNDA (que suele ser ·, pero no necesariamente), de modo que C (excepto e) es otro grupo abeliano. Es decir e no tiene inverso (respecto de la SEGUNDA).
Propiedad distributiva de la SEGUNDA respecto de la PRIMERA.
Siendo f(x,y)= -1+e^xy
1) La imagen/rango de f(x,y) es Im=(-1,∞)
2) La imagen/rango de f(x,y) es Im= (-1,0)U(0,∞)
Me podrían decir cual de las dos es correcta:
En primer lugar, se puede apreciar que el dominio de dicha función es el conjunto R^2.
Una vez, aclarado este hecho, podemos darnos cuenta que el número e elevado a cualquier número siempre es positivo (tiende a cero +), luego la menor imagen posible será -1. Por tanto, podemos afirmar que la respesta correcta es 1):
HOLA UNICOOS, ME AYUDAIS CON ESTE PROBLEMA? LAS SOLUCIONES QUE ME HA DADO SON ( A= 49000J B=818'67W C=58'3% )
Una bomba de 1400 W de potencia extrae agua de un pozo de 25m de profundidad a razón de 200L/minuto. Calcula
a) El trabajo realizado cada minuto
b) La potencia desarrollada por la bomba
c) El rendimiento de la bomba
Me gustaria saber como se resuelve el cuadrado de un angulo seno con fraccion angulo seno de un cuarto elevado al cuadrado por ejemplo he visti que da 15/16 no entiendo porque gracias
Perdón por la pregunta tonta que tengo :
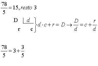
Sí yo divido 78 entre 5 con la calculadora , me sale 15.6, ok , pero si hago la división a mano me sale cociente 15 y resto 3, mi pregunta es, sin usar calculadora ninguna, como puedo yo transformar una división manual, como la de 78 entre 5, obtener 15 de cociente y 3 de resto y yo pasarlo a su número decimal que me dice la calculadora, 15.6 , con que regla se hace ese calculo? gracias y disculpen xD
Vamos a ver, se supone que cuando divides o multiplicas una fracción por un mismo número, obtienes una fracción equivalente, cosa que puedes demostrar, multiplicando el numerador de la fracción original por el denominador de la fracción resultante y comparando esté resultado a uno igual, que tendría que ser el resultado del producto del denominador de la fracción original por el numerador de la resultante. Pues haciendo esto mismo no me sale en esto y me gustaría saber por que: