Foro de preguntas y respuestas de Matemáticas

logo beUnicoos
Los foros de unicoos se han unificado en nuestra nueva plataforma beUnicoos. Para dejar nuevas preguntas deberás hacerlo allí, donde además podrás encontrar nuevas asignaturas y herramientas para ayudarte más con tus estudios.

  • icon

    Facundo
    el 21/2/19

    Me dan una manos con estas?? Gracias!


    replythumb_up0 voto/sflag
    icon

    Antonius Benedictus
    el 21/2/19


    thumb_up0 voto/sflag
    icon

    Antonius Benedictus
    el 21/2/19


    thumb_up0 voto/sflag
  • icon

    Awiagng
    el 21/2/19

    Hola quiero saber si está bien la resolución que realizé del ejercicio número 7, Muchas gracias.

    replythumb_up0 voto/sflag
    icon

    Antonius Benedictus
    el 21/2/19


    thumb_up0 voto/sflag
  • icon

    Facundo
    el 21/2/19

    Hola, me ayudarían? Puse que seria P^(-1) * Q^(-1), pero nose si está bien ni como se justifica


    - Si P es la matriz de pasaje de una base B a otra B´, Q es la de pasaje de B´ a B´´ ¿Cuál es la matriz de pasaje de B´´ a B? Justifique.

    replythumb_up0 voto/sflag
    icon

    Antonius Benedictus
    el 21/2/19


    thumb_up0 voto/sflag
  • icon

    Rafael
    el 20/2/19

    Hola!

    Me podrían ayudar con ejercicio tres. Gracias

    replythumb_up0 voto/sflag
    icon

    Antonio
    el 21/2/19

    Si lo traduces, mejor.

    thumb_up0 voto/sflag
    icon

    Antonius Benedictus
    el 21/2/19


    thumb_up0 voto/sflag
  • icon

    alberto
    el 20/2/19

    ¿Podeis subir un vídeo de como hacer la derivada de una función con valor absoluto? En el vídeo Continuidad y derivabilidad de |x.lnx| haceis la función a trozos de esa función, calculando las derivadas sin valor absoluto, pero me gustaría ver como se hace calcula la derivada de esa función |x.lnx| con valor absoluto, que por lo que se, cambia bastante.

    Gracias

    replythumb_up0 voto/sflag
    icon

    Antonio
    el 21/2/19

    La forma de hacerlo es la que comentas:

    se pasa a una función a trozos y luego se calculando las derivadas sin valor absoluto.

    thumb_up0 voto/sflag
    icon

    alberto
    el 21/2/19

    Gracias Antonio pero no es eso a lo que me refería. En el vídeo que esta colgado se enseña a mirar la derivabilidad. Yo lo que quiero es el paso a paso de hacer la función derivada de una función valor absoluta dada. Hacer la derivada vamos, no hacer una función a trozos sin tener en cuenta el valor absoluto.

    No es lo mismo hacer la derivada de:

    x·lnx

    que de:

    |x.lnx|

    Del segundo no he visto vídeos, sería interesante que David hiciera uno.

    thumb_up0 voto/sflag
    icon

    Antonio
    el 21/2/19

    Insisto, no se hace como tu quieres.

    La forma de hacerlo es pasar la función a trozos y luego se calcula las derivadas por separado.


    thumb_up0 voto/sflag
    icon

    alberto
    el 21/2/19

    Aqui un croquis:

    Son diferentes. Yo quiero un vídeo del segundo, del de abajo.Si David tiene a bien hacer un vídeo sobre ello, le estaré agradecido.

    Lo que usted me esta diciendo no tiene nada que ver con mi petición.

    thumb_up0 voto/sflag
    icon

    César
    el 21/2/19



    thumb_up1 voto/sflag
    icon

    alberto
    el 21/2/19

    Gracias César, lo único que buscaba era la parte superior de tu imagen, el desarrollo de la derivada de la función valor absoluto.  Veo que se hace la regla de la cadena. En otros sitios he visto que se hace de otras maneras, con su paso a paso y dan el mismo resultado. Pero no entendía como una función valor absoluto se deriva de esa forma:

    |x| -> x/|x|

    En las tablas de derivadas que manejo yo no aparece esa derivada, y no entiendo el proceso, usando la definición, por el cual se llega a ese resultado. Por eso quería el vídeo.

    thumb_up0 voto/sflag
  • icon

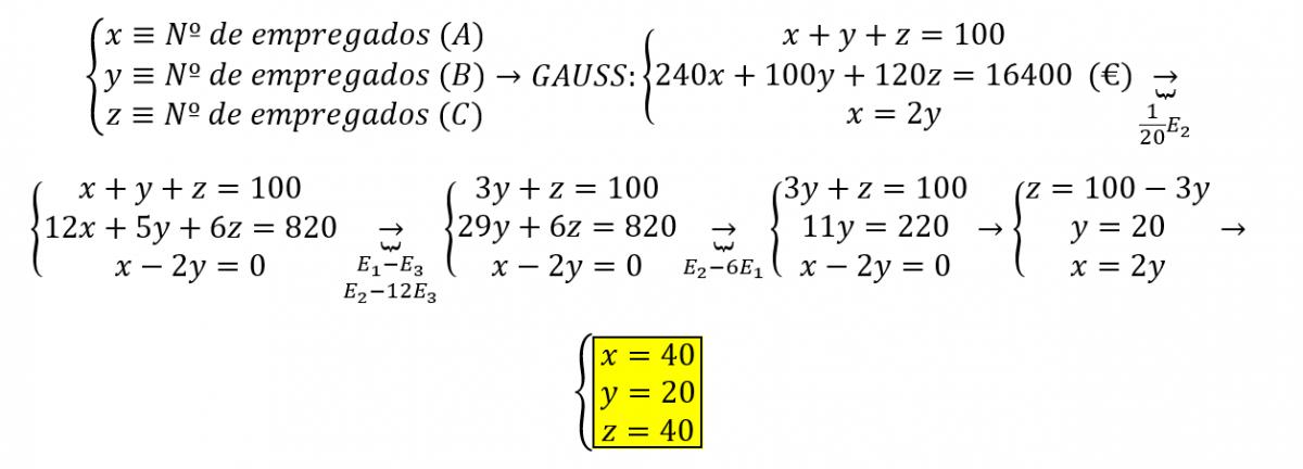
    Tania Santos
    el 20/2/19
    flag

    Hola!! Necesito ayuda con este ejercicio por favor (:

     

    replythumb_up0 voto/sflag
    icon

    David
    el 7/3/19

    Lo siento Tania pero tu duda es más de la asignatura de economía que la de matemáticas. Un abrazo!

    thumb_up0 voto/sflag
  • icon

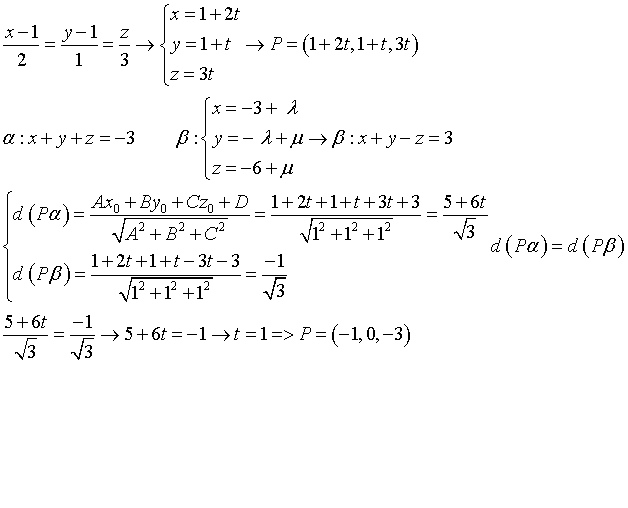
    Ángela
    el 20/2/19

    Me podéis ayudar con la 2ª parte del ejercicio? Hallar el punto simétrico respecto a la recta.


    replythumb_up0 voto/sflag
    icon

    Antonio
    el 21/2/19

    este vídeo te ayudará


    thumb_up1 voto/sflag
    icon

    Antonio
    el 21/2/19

    este vídeo también te ayudará

    thumb_up1 voto/sflag
  • icon

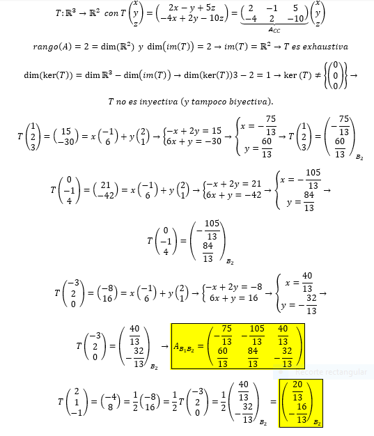
    Quiroga
    el 20/2/19

    Hola alguien me puede ayudar con este ejercicio? apartados c) y d)

    c) Dadas las bases ... determinar la matriz asociada y la aplicación linea T en estas bases.

    d) Encontrar la imagen del vector ... en la base B2, donde ... son los vectores de la base canónica.

    .

    replythumb_up0 voto/sflag
    icon

    Antonius Benedictus
    el 20/2/19


    thumb_up1 voto/sflag
    icon

    Quiroga
    el 21/2/19

    Muchas gracias ya veo mi error! 

    thumb_up0 voto/sflag
  • icon

    Ángela
    el 20/2/19

    ¿Podéis ayudarme con este ejercicio?

    replythumb_up0 voto/sflag
    icon

    César
    el 20/2/19


    thumb_up1 voto/sflag
    icon

    Ángela
    el 21/2/19

    No entiendo de donde sacas B: x+y-z=3

    thumb_up0 voto/sflag