Foro de preguntas y respuestas de Matemáticas

logo beUnicoos
Los foros de unicoos se han unificado en nuestra nueva plataforma beUnicoos. Para dejar nuevas preguntas deberás hacerlo allí, donde además podrás encontrar nuevas asignaturas y herramientas para ayudarte más con tus estudios.

  • icon

    Luis Viñedo
    el 20/2/19

    Me podrían decir cual de las dos es correcta:

    La imagen de f(x,y)=(-1,∞) 

    La imagen de f(x,y)=(-1,0)U(0,∞)

    Siendo f(x,y)= -1+e^xy


    replythumb_up0 voto/sflag
    icon

    César
    el 20/2/19

    Enunciado por favor.


    thumb_up0 voto/sflag
  • icon

    Bernardo
    el 20/2/19

    Hola me gustaría ver los pasos a seguir para comprobarlos con los míos.


    replythumb_up0 voto/sflag
    icon

    Antonius Benedictus
    el 20/2/19


    thumb_up0 voto/sflag
    icon

    Bernardo
    el 20/2/19

    Muchas gracias Antonio ahora he podido ver donde me había equivocado.

    thumb_up1 voto/sflag
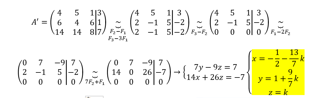
  • icon

    Bernardo
    el 20/2/19

    Buenos días, alguien me podría decir si esta bien resuelto este problema y si no es así decirme porque.

    Gracias

    replythumb_up0 voto/sflag
    icon

    Antonius Benedictus
    el 20/2/19

    Utiliza esta página:

    https://matrixcalc.org/es/

    thumb_up0 voto/sflag
    icon

    Bernardo
    el 20/2/19

    Pero Antonio no se muy bien si he utilizado bien el parametro k

    thumb_up0 voto/sflag
    icon

    Antonius Benedictus
    el 20/2/19

    Es que no veo la resolución por ningún sitio.

    thumb_up0 voto/sflag
    icon

    Bernardo
    el 20/2/19

    El resultado esta en las casillas de abajo que es lo que me ha dado a mi.

    Perdona  Antonio igual es que no me explicado bien


    thumb_up0 voto/sflag
  • icon

    Cinthia LV
    el 20/2/19

    Por favor 💜

    replythumb_up0 voto/sflag
    icon

    Antonius Benedictus
    el 20/2/19


    thumb_up0 voto/sflag
    icon

    César
    el 20/2/19


    thumb_up0 voto/sflag
    icon

    Cinthia LV
    el 20/2/19

    Disculpe Antonius como saca los valores de A y B, gracias ^^

    thumb_up0 voto/sflag
  • icon

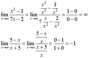
    Y3
    el 20/2/19

    He dividido entre la x de mayor grado en cada uno de los factores, he sustituido por 0 en los que presentaban la regla del n/infinito es igual a 0, he sustituido por 0 y no me da :( Alguien puede ayudarme? Graciaas

    replythumb_up0 voto/sflag
    icon

    César
    el 20/2/19


    thumb_up1 voto/sflag
  • icon

    Nick Specter
    el 20/2/19

    Sea el Plano hallar la distancia ente π y el origen

    ayuda unicoos

    replythumb_up0 voto/sflag
    icon

    César
    el 20/2/19

  • icon

    Jonathan Valverde Moral
    el 19/2/19

    Buenas noches, ¿Alguien podria ayudarme con este ejercicio?


    replythumb_up0 voto/sflag
    icon

    Antonius Benedictus
    el 20/2/19


    thumb_up0 voto/sflag
  • icon

    Facundo
    el 19/2/19

    Me dirian si estan bien justificados estos ejercicios?

    - Si {v1, v2, …, vq} es una base de un espacio vectorial V, entonces para cualquier escalar c, entonces {cv1, cv2, …, cvq} es una base de V
       Verdadero, ya que seguiran teniendo la misma cantidad de vectores, por lo que seguiran siendo sist de generador y al aplicar una operacion elemental       seguirando siendo linealmente independientes

    -Si V es un espacio vectorial de dim(V) = n, entonces cualquier conjunto de n-1 vectores de V es linealmente independiente

       Falso, ya que daria un SCI porque el rango seria menor al numero de incognitas al hacer gauss, tendria que ser n o mas vectores de V


    Y estos 2 no los entiendo

    - Si una matriz A es equivalente por filas a otra B escalonada, los vectores fila no nulos de B forman una base del espacio fila de A

    - Si una matriz A es equivalente por filas a otra B escalonada, los vectores columna no nulos de B forman una base del espacio columna de A

    replythumb_up0 voto/sflag
    icon

    Antonius Benedictus
    el 20/2/19

    a) Salvo que c=0.

    b) Falso, pero porque no especifica cómo son los vectores.

    c)  Verdaderos. Las transformaciones elementales conservan la dependencia lineal.

    thumb_up0 voto/sflag
  • icon

    Facundo
    el 19/2/19

    Hola, tengo una duda con estos enunciados, no son los 2 falsos? Creo que deberían ser n vectores de V los que generan a V


    - Si V es un espacio vectorial de dim(V) = n, entonces existen n-1 vectores de V que generan a V

    - Si V es un espacio vectorial de dim(V) = n, entonces existen n+1 vectores de V que generan a V

    replythumb_up0 voto/sflag
    icon

    Antonius Benedictus
    el 19/2/19

    El segundo enunciado es el correcto.

    Una base es un conjunto de generadores en número mínimo. Si la dimensión es n, una familia de generadores tiene n O MÁS elementos.

    thumb_up0 voto/sflag
  • icon

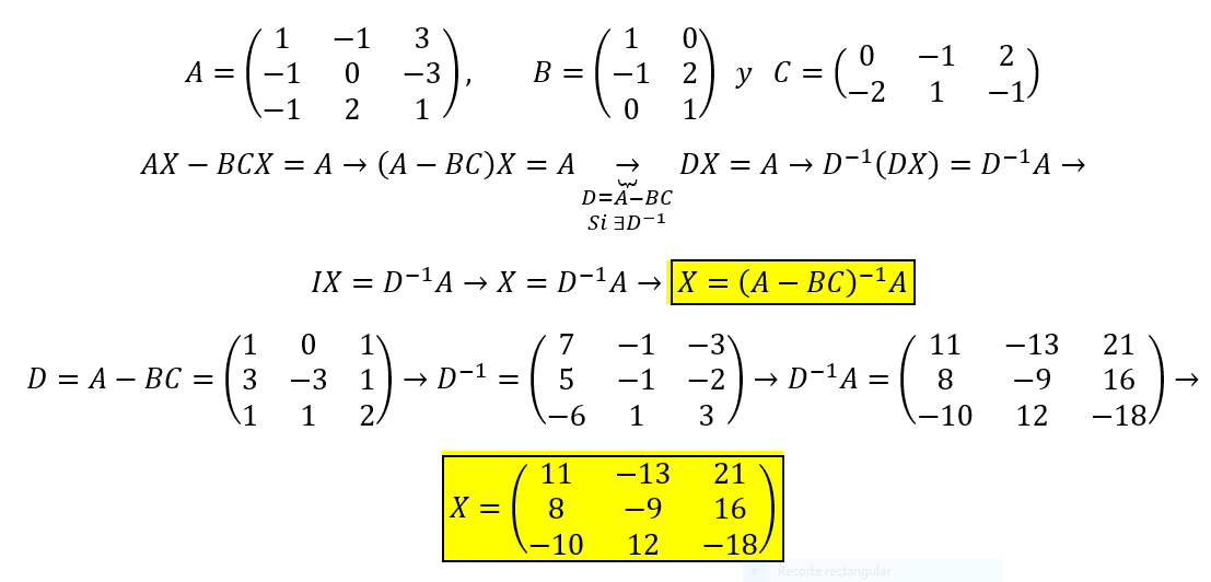
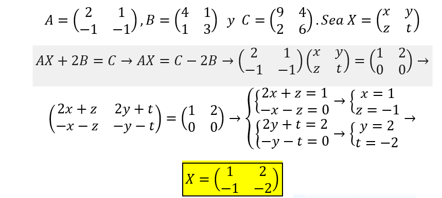
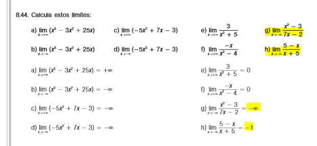
    Laura Viñuela
    el 19/2/19

    Hola , podrias ayudarme con los ejercicios que estan indicados con amarillo,  seria de gran ayuda. 


    Gracias.

    replythumb_up0 voto/sflag
    icon

    Antonius Benedictus
    el 20/2/19

    Para los cálculos:

    https://matrixcalc.org/es/


    thumb_up0 voto/sflag
    icon

    Antonius Benedictus
    el 20/2/19


    thumb_up0 voto/sflag