¿Es cierto que el cero no es número compuesto ni primo pero sí es par?

Vamos con una orientación.
1)
Cero nunca es igual a una multiplicación de factores primos, por lo tanto no es un número entero compuesto.
2)
Cero es divisible por cualquier número entero distinto de cero, por lo tanto cero no es un número primo.
3)
Cero es el doble de cero, por lo tanto cero es un número entero par.
Espero haberte ayudado.
Gracias por responderme pero sigo sin entenderlo.
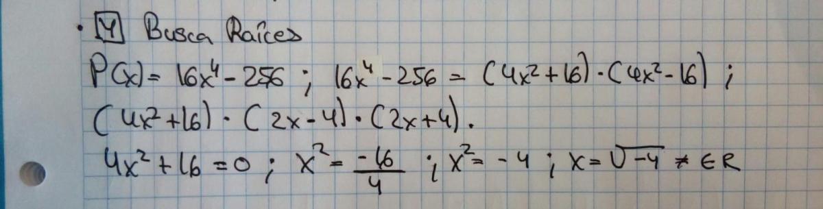
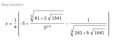
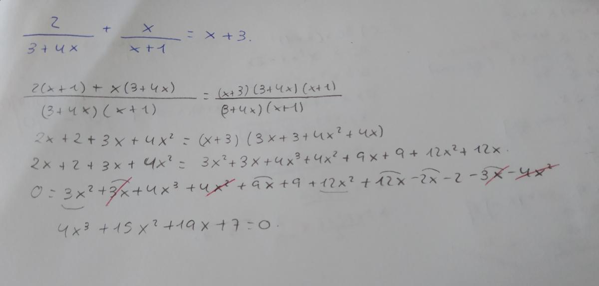
Tengo mañana examen de matemáticas y no me sale de ninguna forma esta ecuación ,porque al llegar hasta dónde lo he hecho hago Ruffini y no me sale por ningún número. Me podría ayudar alguien por favor.

Me encantaría ayudarte, pero no podemos ayudaros con dudas universitarias que no tengan que ver específicamente con los videos que ya he grabado como excepcion. O de otras asignaturas que no sean matemáticas, física y química. Lo siento de corazón… Espero lo entiendas
Ojalá algun unicoo universitario se anime a ayudarte (de hecho lo ideal es que todos los universitarios intentarais ayudaros los unos a los otros)
Hola por favor ayudenme con este ejercicio.
Hallar la ecuación de la parábola tangente a la circunferencia x^2+y^2=5 en el punto (3,4) y cuyo foco esta en el punto (6,8)