Hola, buenas tardes! Me llamo Erika, estoy en la universidad, estudiando ingeniería y tengo problemas con límites en funciones hiperbolicas. Busque vídeos acerca del tema y no pude sacarme la duda. Podría hacer un vídeo de ejemplo de cómo se resuelven estos tipos de límites? Si no es mucho pedir! Los otros vídeos me ayudaron muchísimo por eso decidí hablarle! Muchas gracias por su tiempo profe. Saludoss

Lo siento Eriika, me encantaría ayudarte, pero no respondo dudas universitarias que no tengan que ver específicamente con los videos que ya he grabado como excepcion. O de otras asignaturas que no sean matemáticas, física y química. Lo siento de corazón… Espero lo entiendas
Ojalá algun unicoo universitario se anime a ayudarte (de hecho lo ideal es que todos los universitarios intentarais ayudaros los unos a los otros)
podrías ayudarme con un problema de límites?
Aquí te dejo el enunciado:
Tenemos dos circunferencias de centros O y O prima y radios R y r, respectivamente, que son tangentes exteriores en un punto A. Por un punto B de la tangente común se trazan dos tangentes BC y BC prima, siendo C y C prima los puntos de contactos de éstas con las respectivas circunferencias.
Se pide calcular el límite del cociente de las áreas de los triángulos ABC y ABC prima en los siguientes casos:
a) Si el punto B tiende al punto A.
b) Si el punto B se aleja indefinidamente del punto A.
Me podéis echar un cable en un problema de probabilidad?
Hola David.Imaginemos que en el experimento vemos 1500 matrículas con resultados positivos:12 matrículas con los cuatro dígitos iguales (ej:4444)40 con tres dígitos iguales juntos(solo válidos ej 5553,no valido 5535) y 100 con dos dígitos iguales juntos(ej:6609,no válido 6069).¿Qué probabilidad hay de que esto suceda en 1500 intentos?Gracias David por imtentar ayudarme.

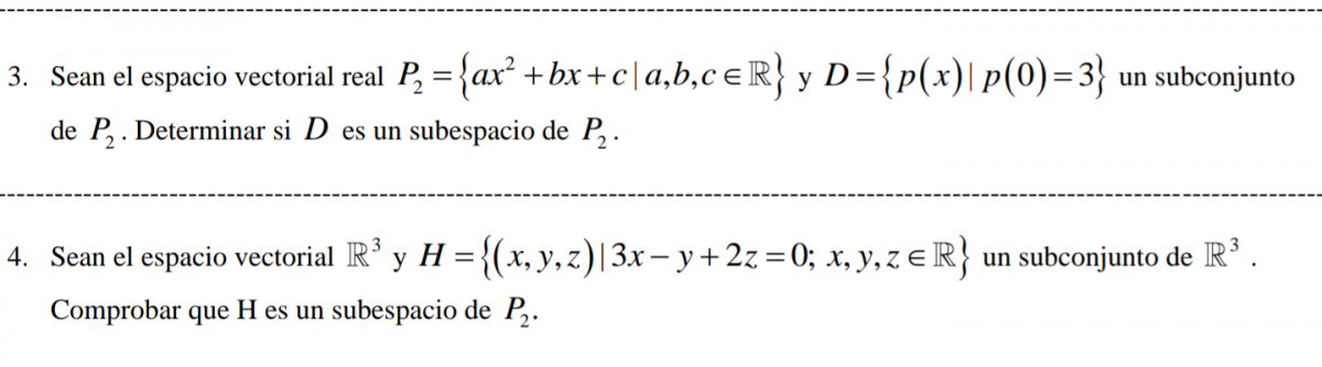
El 1º no lo es, pues no contiene al polinomio nulo , ya que este vale 0 en todos los valores (nunca 3).
El segundo lo es porque el sistema que lo define implícitamente está formado por ecuaciones (una en este caso) lineales (de primer grado) y homogéneas (sin término independiente), por lo que cualquier combinación lineal de elementos de H también está en H.