Hola Unicoos
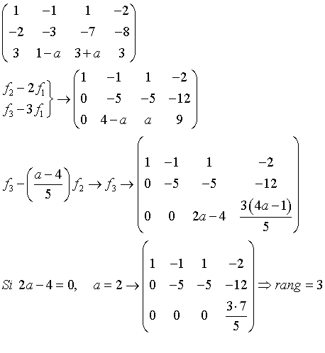
El enunciado dice: Estudiar el rango de B en función de (a).
Yo lo he razonado así: Como (B) es de dimensión 3×4 su máximo rango sería 3 porque nunca podrá ser de 4×4. Por lo tanto estudio su rango por determinantes cogiendo sus dos menores.
Mi duda es: si a≠7/8 --> rg(B)=3 pero entonces por qué al sustituir en la matriz 7/8 sí me da que su rango es 3?
Alguien me puede decir si lo que he hecho está mal y como se podría hacer por determinantes ?
Muchas gracias
Hola Unicoos
El enunciado es: Calcula el valor del determinante.
Lo he hecho por adjuntos, el resultado lo podría expresar de una forma más simplificada?
Muchas gracias
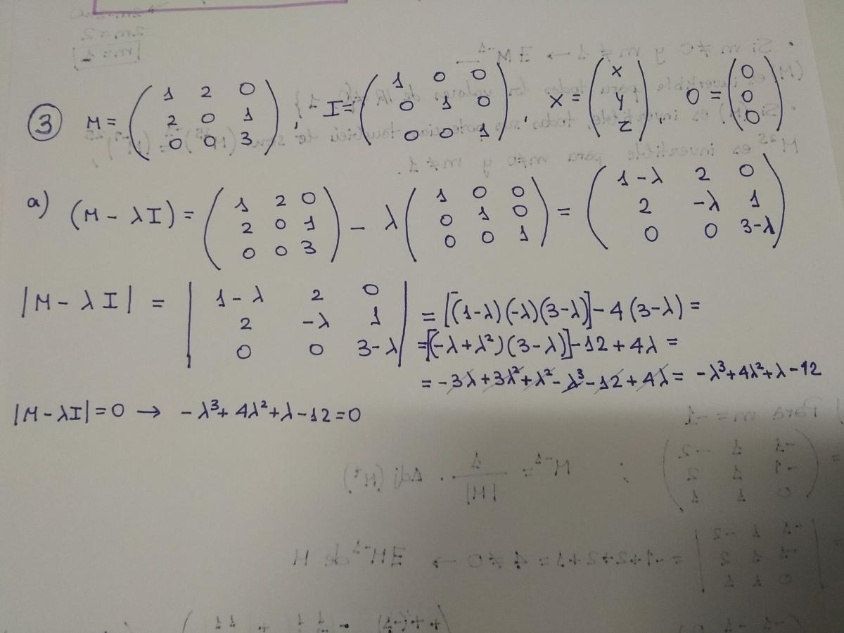
Hola Unicoos
Alguien me dice sí he hecho bien este determinante?
Esque me sale una ecuación de grado 3
Muchas gracias

La expresión de grado tres que has obtenido es correcta, y observa que λ = 3 es una de sus raíces, por lo que puedes aplicar la Regla de Ruffini para factorizarlo, y observa que te quedará un factor polinómico cuadrático que también podrás factorizar.
Otra opción: observa que la tercera fila del último determinante que tienes en tu desarrollo tiene un solo elemento cuya expresión no es igual a cero, por lo que puedes desarrollar según la tercera fila, y queda:
│M - λ*I│ = (3 - λ)*( -λ*(1-λ) - 4 ) = (3 - λ)*(λ2 - λ - 4),
y observa que la raíz del primer factor es λ = 3, y que puedes aplicar la fórmula resolvente para calcular las raíces del segundo factor, que es polinómico cuadrático.
Espero haberte ayudado.
Hola,¿sabeis si hay algún video de combinación lineal de vectores de 1º de bach?Es que he estado buscando y no soy capaz de encontrar, también me gustaría encontrar algunos ejercicios de esto, pues tengo examen este viernes y sigo sin entender esto.Gracias