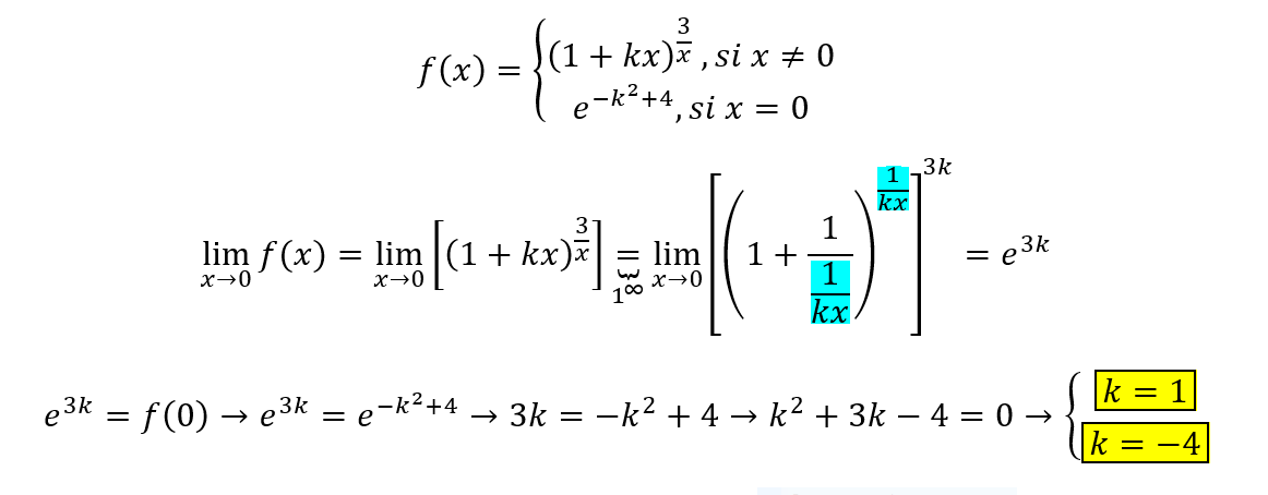
Por favor necesito ayuda con este con este problema, dice asi: Una fábrica hace bicicletas del tipo A, que llevan 1kg de acero y 3kg de aluminio, y otras del tipo B, que llevan 2kg de acero y 2kg de aluminio. Si la empresa tiene 240 kg de acero y 360 kg de aluminio, ¿Cuántas bicicletas puede construir de cada modelo?
Gracias de antemano.
Hola!! Tengo una duda a nivel de 1º de ingeniería, algebra lineal, en espacio euclideo, si te dan la matriz de Gram y te piden que hagas el cambio de base, se haría con la inversa a esa nueva base que te dan, o con la traspuesta?? Gracias!!!
Un saludo!!!

Me encantaría ayudarte, pero no respondo dudas universitarias que no tengan que ver específicamente con los videos que ya he grabado como excepcion. O de otras asignaturas que no sean matemáticas, física y química. Lo siento de corazón… Espero lo entiendas
Ojalá algun unicoo universitario se anime a ayudarte (de hecho lo ideal es que todos los universitarios intentarais ayudaros los unos a los otros)