
¡Hola! Nos encantaría ayudarte, pero no solemos responder dudas universitarias que no tengan que ver específicamente con los vídeos que David Calle ha grabado como excepción. O de otras asignaturas que no sean Matemáticas, Física y Química. Lo sentimos de corazón… Esperamos que lo entiendas.
Ojalá algún unicoo universitario se anime a ayudarte (de hecho, lo ideal es que todos los universitarios intentarais ayudaros los unos a los otros).
https://matrixcalc.org/es/
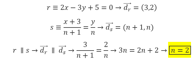
Hola , alguien me podria echar un cable con este ejercicio ?
Buenas noches. Por último, necesitaría ayuda con este ejercicio sobre diagonalización. Muchísimas gracias de nuevo unicoos
Hola, esta tarde he preguntado cómo se hacía este ejercicio: Sean U = L({(1, 2, 1, 2),(0, 3, −1, 1),(3, 0, 5, 4)} y W = {(x, y, z, t) ∈ R 4 : 2x + 2y + z + t = 0; 3x + 2y + z − t = 0}. Calcular una base y unas ecuaciones cartesianas de U + W y de U ∩ W.
Yo lo hice de otra forma que adjunto a continuación. Con este método me salen las bases de la suma y de la intersección pero el problema es qué no sé cómo continuar para sacar las ecuaciones cartesianas de cada una de ellas. ¿Me pueden decir cómo?

Me encantaría ayudarte, pero no respondo dudas universitarias que no tengan que ver específicamente con los videos que ya he grabado como excepcion. O de otras asignaturas que no sean matemáticas, física y química. Lo siento de corazón… Espero lo entiendas
Ojalá algun unicoo universitario se anime a ayudarte (de hecho lo ideal es que todos los universitarios intentarais ayudaros los unos a los otros)