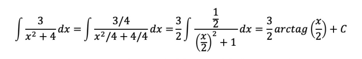
¿Como puedo poner una x en el numerador? Necesito un 2x que es la derivada del denominador.
∫ 3/(x2+4) dx
Hola! Necesito ayuda para la segunda parte de este ejercicio. Cómo se llega a la conclusión de que no existe un punto de la función para la recta perpendicular a la recta tangente obtenida?
Para obtener la pendiente pedida solo hay que hallar f'(2)
y como f'(x)=3/(3x-2)
entonces:
f'(2)=3/(3·2-2)=3/4
Sabemos que la pendiente de la recta perpendicular a la que tiene como pendiente 3/4 es -4/3
veamos en qué punto se obtiene, para ello igualamos f'(x)=-4/3
3/(3x-2)=-4/3
resolviendo esta ecuación de primer grado obtenemos que x= -1/12
en principio la solución pedida sería el punto x=-1/12 a no ser porque este punto no pertenece
al dominio de la función f(x) ya que f(-1/12)=ln(3x-2)=ln[3(-1/12)-2]=ln[(-3/12)-2]=ln(-9/4) y de todos es sabido que el dominio de la función logaritmo es (0,+∞) no admitiendo valores negativos como sería el caso que nos ocupa
Por favor, tengo que resolver este problema para mañana y no encuentro forma de hacerlo. Podrían ayudarme? Gracias de antemano :)
. Una familia dispone en su jardín de un estanque rectangular de 2x4 metros. De una obra
en la casa les han sobrado 27m2
de baldosa que quieren aprovechar para rodear el estanque
con un paseo que tenga siempre la misma anchura. ¿Cuál debe ser el ancho del paseo para
que pueda construirse con las baldosas que ya tienen?.

Hola, me da la impresión de que el tamaño de las baldosas no es relevante, simplemente que se dispone de 27 m2 de baldosas.
Tal y como yo lo entiendo sería así:
Como dice el enunciado, la anchura es siempre igual, así que la denominamos "x". Si se desea rodear el estanque con una anchura siempre igual, basándonos en los lados del estanque (4 m y 2 m) y en el área que ocupará el paseo (27 m2), se puede plantear una ecuación de segundo grado que nos permitirá hallar el ancho del paseo. Me parece más práctico poner una imagen con la idea, así que aquí adjunto una al final a modo de boceto.
Para los tramos de paseo rectangulares que tienen como lados x (la anchura del paseo) y uno de los lados del estanque (4 o 2) se puede hallar el área aplicando la fórmula del área del rectángulo: 2 tramos serían 4 · x, y los otros dos serían 2 · x, por tanto, ya tenemos que la suma de esos lados sería: 2 · (4x) + 2 · (2x) = 12x.
Pero faltaría por completar el paseo con cuatro tramos cuadrados cuyo lado sería x, ya que si no tendríamos trozos sueltos sin conectar. Para estos cuatro cuadrados (las esquinas del paseo) se puede hallar el área mediante el área del cuadrado: x · x = x2, y como son 4, pues tendríamos 4x2.
Con todo esto, ya podríamos formular la ecuación final, ya que la suma de todas las áreas anteriores (12x + 4x2) tiene que ser 27 m2. Ya se puede plantear la ecuación:
4x2 + 12x = 27, se iguala a 0, 4x2 + 12x -27 = 0, y se resuelve la ecuación de segundo grado que nos da como soluciones: x1 = 3/2, x2 = -9/2.
Evidentemente, una distancia no puede ser negativa, así que se toma el valor positivo y averiguamos que la anchura del pasillo será de 3/2 m = 1,5 m.
Espero que sea útil mi respuesta, un saludo.
podrias hacer un video explicando el metodo de substitución, el de igualación y el de grafica?