Hola buenas tardes necesito saber como es este problema de matemáticas de 2º de la ESO: se tienen 40 litros de una disolución A de 12 grados, que se mezclan con 60 litros de otra disolución B similar de 15 grados. Calcula la graduación media de la mezcla.

Observa que 40 litros de la primera solución, por lo que su volumen de soluto puro es:
0,12*40 = 4,8 litros.
Observa que tienes 60 litros de la segunda solución, por lo que su volumen de soluto puro es:
0,15*60 = 9 litros.
Luego, observa que el volumen total de soluto es:
4,8 + 9 = 13,8 litros,
y que el volumen total es:
40 + 60 = 100 litros.
Luego, como tienes 13,8 litros de soluto puro en 100 litros de solución, puedes concluir que la graduación de la solución resultante es:
13,8/100 = 0,138 grados.
Espero haberte ayudado.

Tienes los puntos:
M(7,4) y N(-2,1);
luego, planteas la expresión de la distancia entre ellos, y queda:
|MN| = √( (-2-7)2+(1-4)2 ) = √( (-9)2+(-3)2 ) = √(81+9) = √(90) (1);
luego, planteas la expresión de la pendiente del segmento MN, y queda:
m = (1-4)/(-2-7) = -3/(-9) = 1/3 (2).
Luego, tienes en tu enunciado la relación entre las distancias determinadas por un punto genérico: P(x,y) perteneciente al segmento MN, y los puntos extremos del segmento:
|MP| = |PN|/2 (3);
luego, observa que puedes plantear la relación entre las distancias entre los tres puntos:
|MP| + |PN| = |MN|, aquí sustituyes la expresión señalada (3) y el valor señalado (1), y queda:
|PN|/2 + |PN| = √(90),
reduces términos semejantes en el primer miembro, extraes factores enteros de la raíz cuadrado, y queda:
3*|PN|/2 = 3*√(10), multiplicas por 2 y divides por 3 en ambos miembros, y queda:
|PN| = 2*√(10),
sustituyes la expresión de la distancia entre los puntos P y N, introduces el factor entero en la raíz, y queda:
√( (-2-x)2+(1-y)2 ) = √(40), elevas al cuadrado en ambos miembros, y queda:
(-2-x)2+(1-y)2 = 40 (4).
Luego, con las coordenadas del punto M y del punto P, planteas la expresión de la pendiente del segmento MP (observa que es igual a la pendiente del segmento MN), y queda:
(y-4)/(x-7) = m, reemplazas el valor señalado (2), multiplicas por (x-7) en ambos miembros, y queda:
y - 4 = (1/3)*(x - 7), distribuyes el segundo miembro, sumas 4 en ambos miembros, y queda:
y = (1/3)*x + 5/3 (5),
que es la ecuación cartesiana explícita de la recta que pasa por los puntos M, N y P.
Luego, sustituyes la expresión señaladas (5) en la ecuación señalada (4), y queda:
(-2 - x)2 + (1 - (1/3)*x - 5/3)2 = 40,
reduces términos numéricos en el argumento del segundo cuadrado, y queda:
(-2 - x)2 + (-(1/3)*x - 2/3)2 = 40,
desarrollas los binomios elevados al cuadrado, y queda:
4 + 4*x + x2 + (1/9)*x2 + (4/9)*x + 4/9 = 40,
multiplicas por 9 en todos los términos, y queda:
36 + 36*x + 9*x2 + x2 + 4*x + 4 = 360,
restas 360 en ambos miembros, reduces términos semejantes, ordenas términos, y queda:
10*x2 + 40*x - 320 = 0,
divides por 10 en todos los términos, y queda:
x2 + 4*x - 32 = 0,
que es una ecuación polinómica cuadrática, cuyas soluciones son:
1°)
x = ( -4-12)/2 = -16/2 = -8,
reemplazas este valor en la ecuación señalada (5), y queda:
y = (1/3)*(-8) + 5/3 = -8/3 + 5/3 = -1,
por lo que tienes el punto:
P1(-8,-1),
que puedes verificar que no pertenece al segmento MN (observa que su abscisa no es un valor intermedio entre las abscisas de los puntos M y N), por lo que no tiene sentido para este problema;
2°)
x = ( -4+12)/2 = 8/2 = 4,
reemplazas este valor en la ecuación señalada (5), y queda:
y = (1/3)*4 + 5/3 = 4/3 + 5/3 = 3,
por lo que tienes el punto:
P2(4,3),
que puedes verificar que si pertenece al segmento MN, y que también verifica la ecuación señalada (3).
Espero haberte ayudado.
Hola unicos, necesito de su ayuda.
Determinar la pendiente y la ordenada al origen de las rectas.
1) 3x -2y = 12
2) X + Y = 3
3) y = 4
Gracias de antemano

Hola, para determinar el valor de la pendiente y la ordenada en el origen transformamos las ecuaciones a su forma explícita: y = mx + n. Así, m será la pendiente y n la ordenada en el origen.
1) 3x - 2y = 12 → 3x - 12 = 2y → y = (3/2)x - 6 → m = 3/2, n = -6
2) x + y = 3 → y = -x + 3 → m = -1 (el coeficiente de x es -1), n = 3
3) y = 4 → Como no hay x, se sobreentiende que es 0x, y por tanto: m = 0, n = 4
Espero que te ayude, saludos.
Hola unicoos, me pueden ayudar con este ejercicio?
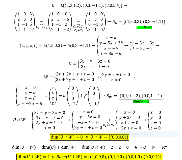
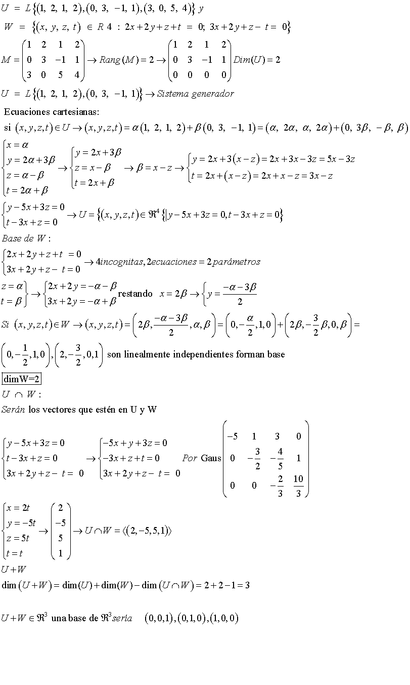
Sean U = L({(1, 2, 1, 2),(0, 3, −1, 1),(3, 0, 5, 4)} y W = {(x, y, z, t) ∈
R
4
: 2x + 2y + z + t = 0; 3x + 2y + z − t = 0}. Calcular una base y
unas ecuaciones cartesianas de U + W y de U ∩ W.
Buenos dias.
Mi pregunta es la siguiente.
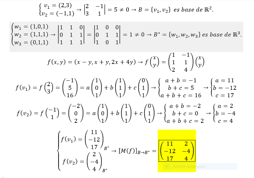
1. Tengo un endomorfismo f:R2 -> R2 que tiene por matriz:
Sean
demostrar que u1 y u2 es base de R2 y escribir la matriz f en esta base.
Gracias.
Hola! Me podrían explicar el paso de este ejercicio que resalté en negrita3log⅓ X3 log ⅓ 2 - log ⅓ (x+5) Log⅓ x³ - log ⅓ 2 - log ⅓ (x+5) Log⅓ x3/ 2* (x+5)Log³ 2x - log3 (x+5) = 0 ( ¿xq cambia la base a 3 y el dos multiplica a x. Me puede explicar este proceso?)Log3 2x / (x+5) = 02x / (x+5) = 302x / (x+5) =12x = x+5x = 5