Hola Unicoos, se que este tema no lo dan aqui porque son de Universidad, pero quisiera saber si alguien me ayuda a resolver este ejercicio con la Transformada de Laplace, estaría muy agradecido de ante mano.

Hola, vas bien. Ahora fíjate que: (s+1)/(s²-2s+5)=s/(s²-2s+5) + 1/(s²-2s+5). Completas cuadrados en el denominador: s²-2s+5=(s²-2s+1)+4=(s-1)²+2². Por tanto:
s/[(s-1)²+2²]=(s-1+1)/[(s-1)²+2²]=(s-1)/[(s-1)²+2²] + 1/[(s-1)²+2²]=(s-1)/[(s-1)²+2²] + ½ {2/[(s-1)²+2²]} y 1/[(s-1)²+2²]=½ {2/[(s-1)²+2²]}
Transformada inversa de laplace de s/[(s-1)²+2²]=e^t*cos(2t)+e^t*½sen(2t) y Transformada inversa de laplace de 1/[(s-1)²+2²]=e^t*½sen(2t)
Por tanto: Transformada inversa de laplace de (s+1)/(s²-2s+5)=e^t[cos(2t)+sen(2t)]
Cualquier duda comenta, es un poco complicado pero si te atoras en algo me dices :)
Buenas tardes!!
Alguien me puede explicar cual es la diferencia entre ecuación, polinomio y expresión algebraica¿? Estoy hecha un lio!

Una ecuación es una expresión con incógnitas que deben cumplir una condición (Ej: 2x=4)
Un polinomio es una función que para un valor de entrada te da un valor de salida (Ej: P(x)=2x+5)
Una expresión algebraica es una combinación de letras y números ligadas por los signos de las operaciones (sumas, restas, multiplicación y división).
Espero que te aclare, un saludo ;)

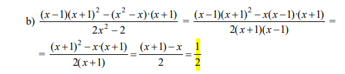
Vamos con un planteo que puede serte útil para simplificar la expresión algebraica fraccionaria de tu enunciado.
Consideras el numerador (N) y el denominador (D) por separado, y queda:
N =
= (x-1)*(x+1)2 - (x2-x)*(x+1) =
extraes factor común en el primer factor del segundo término, y queda:
= (x-1)*(x+1)2 - x*(x-1)*(x+1) =
extraes factores comunes ( (x-1) y (x+1) ), y queda:
= (x-1)*(x+1)*( (x+1) - x ) =
eliminas el agrupamiento en el tercer factor, y queda:
= (x-1)*(x+1)*( x+1 - x ) =
cancelas términos opuestos en el tercer factor (observa que este es el motivo de tu consulta), y queda:
= (x-1)*(x+1)*1 (1).
D =
= 2*x2 - 2 =
extraes factor común numérico, y queda:
= 2*(x2 - 1) =
factorizas el segundo factor (observa que tienes una resta de cuadrados perfectos), y queda:
= 2*(x-1)*(x+1) (2).
Luego, tienes la expresión algebraica fraccionaria de tu enunciado:
( (x-1)*(x+1)2 - (x2-x)*(x+1) ) / ( 2*x2 - 2 ) =
sustituyes las expresiones remarcadas y señaladas (1) (2), y queda:
= (x-1)*(x+1)*1 / ( 2*(x-1)*(x+1) ) =
simplificas factores comunes entre el numerador y el denominador ( (x-1) y (x+1) ), y queda:
= 1/2.
Observa además que los factores simplificados: (x-1) y (x+1) no pueden tomar el valor cero, por lo que tienes que la indeterminada (x) no puede tomar el valor 1 y no puede tomar el valor -1.
Espero haberte ayudado.
Hola, muy buenas. Podríais ayudarme a resolver todo el enunciado con cada uno de sus puntos, ¿por favor?
Estoy un poco perdido al respecto. Muchas gracias :c
hola.
me podríais decir si este ejercicio esta bien hecho. Y si esta mal explicarme el fallo porfavor.

Correcto, la solucion iría entre paréntesis porque no pertenece al intervalo. Me explico;
Tu tienes por ejemplo esta inecuación x>2, cuyo intervalo es abierto, es decir, con paréntesis, porque no es mayor igual (≥) y la solucion iría de (2, +∞).
Ahora si la inecuación es x≥2 si iría con intervalos cerrado, es decir, con corchetes, cuya solucion seria [2, +∞).
Espero que te ayude, un saludo ;)