Buenas, en ejercicios de probabilidad, cuando me piden posibilidad, a que se refieren? Gracias (en la foto sería el 2 apartado del ejercicio 3)
Buenos días . Por mas que intento resolverlo el ejercicio 79 no puedo espero que me podáis ayudar gracias

Puedes designar:
x: precio de un Kilogramo de patatas,
y: precio de un Kilogramo de manzanas.
Luego, tienes la primera relación:
"El kilo de patatas cuesta la cuarta parte del kilo de manzanas",
que puedes expresar mediante la ecuación:
x = (1/4)*y (1).
Luego, tienes la segunda relación:
"por 3 Kg de manzanas y 8 Kg de patatas Isabel ha pagado 10 euros",
que puedes expresar mediante la ecuación:
3*y + 8*x = 10 (2).
Luego, sustituyes la expresión señalada (1) en la ecuación señalada (2), y queda:
3*y + 8*(1/4)*y = 10, simplificas en el segundo término, y queda:
3*y + 2*y = 10, reduces términos semejantes, y queda:
5*y = 10, divides por 5 en ambos miembros, y queda:
y = 2 euros (precio de un Kilogramo de manzanas);
luego, reemplazas el valor remarcado en la ecuación señalada (1), y queda:
x = (1/4)*2, resuelves, y queda:
x = 0,50 euros (precio de un Kilogramo de patatas).
Espero haberte ayudado.
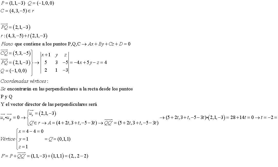
Tengo que hallar el rango. Pero no sé que rango sería en la matriz ampliada. Ya que tiene un cero. Rango (A) es 1 pero el rango de (A*) es 1 o 2 ?
El rango de A ampliada es dos porque hay un determinante de orden dos no nulo. El que se forma con la columna 3 (el del coeficiente de z) y la columna 4 (los términos independiented). O todo aquel determinante que contenga a una columna de la matriz A y la otra sea la columna de los términos independientes.

Otra forma para determinar el rango es contar la cantidad de filas no nulas de la matriz reducida y escalonada por filas que has obtenido.
Observa que la matriz del sistema (A) te ha quedado:
A =
1 1 1
0 0 0,
y como tiene una sola fila no nula (la primera fila), entonces tienes que su rango queda:
R(A) = 1.
Observa que la matriz ampliada del sistema (A*) te ha quedado:
1 1 1 0
0 0 0 1,
y como tienes dos filas no nulas (observa que las dos filas tienen al menos un elemento que no es igual a cero), entonces tienes que su rango queda:
R(A*) = 2.
Espero haberte ayudado.
Hola Buenas noches, estoy preparando un examen de universidad de matemáticas en el que repasamos todo el concepto de integrales.
En primer lugar me piden una integral que se resolverla pero tengo una cierta duda en la resolución de la integral del Sen 2x.
I= ∫sen 2x dx= ½∫sen 2x • 2 dx=
-½ cos(2x)+C
Ahora yo se que el sen(2x)=2 Sen(x) cos(x) y si hago la ∫2 Sen(x) cos(x) dx =
2∫Sen(x) cos(x) dx= Sen2(x) + C.
¿Porque la primera solución es la correcta y la segunda no como me indican en muchas calculadoras de integrales? Gracias y un saludo.

Algunas integrales pueden resolverse de maneras distintas (eso hace el calculo de integrales muy interesante). Ahora bien, algo que me gusta decir es que si sigues una secuencia de pasos lógicos y llegas a una respuesta distinta, no quiere decir que estes mal (mientras esos pasos sean correctos). Esto ultimo es lo que sucede con esta integral. Observa que la primera respuesta es -cos(2x)/2 y con esta trabajaremos para llegar a sen^2(x). Recordemos que cos(2x)=cos^2(x)-sen^2(x), entonces: -cos(2x)/2=-[cos^2(x)-sen^2(x)]/2=[sen^2(x)-cos^2(x)]/2. Ahora usamos el hecho de que cos^2(x)=1-sen^2x: [sen^2(x)-cos^2(x)]/2=[sen^2(x)-1+sen^2(x)]/2=sen^2(x)+c
Ojala y te haya sido de ayuda, cualquier duda comenta :)

Las dos expresiones que has encontrado para la solución general son equivalentes:
En la primera has obtenido:
I = -(1/2)*cos(2x) + C,
aquí derivas, y queda:
I ' = -(1/2)*( -sen(2x)*2) + 0 = sen(2x),
que es la expresión del argumento de la integral de tu enunciado.
En la segunda has obtenido:
I = sen2(x) + C,
aquí derivas, y queda:
I ' = 2*sen(x)*cos(x) + 0 = 2*sen(x)*cos(x) = aplicas la identidad del seno del doble de un ángulo = sen(2x).
Luego, puedes concluir que las dos expresiones son equivalentes.
Espero haberte ayudado.
hola el profesor nos ha mandado deberes para hacer en casa es un colegio de adultos así que no son obligatorios pero son buenos para aprender y el profe lo valora mucho vamos por los ejercicios de proporcionalidad directa e inversa el problema es el siguiente: reparte 73.828 en partes directamente proporcionales a 4/6 , 6/10 y 8/14
parece sencillo pero yo la verdad es que en las vacaciones de navidad he perdido mucha practica en fracciones y se me ha olvidado bastantes cosas parece mentira pero si no practicas constantemente se olvidan las cosas y ahora ando un poco apurada me gustaría hacerlo por mi misma pero no entiendo como se tiene que hacer, ademas este mes acabamos de empezar con problemas de proporcionalidad
gracias por la ayuda de antemano