
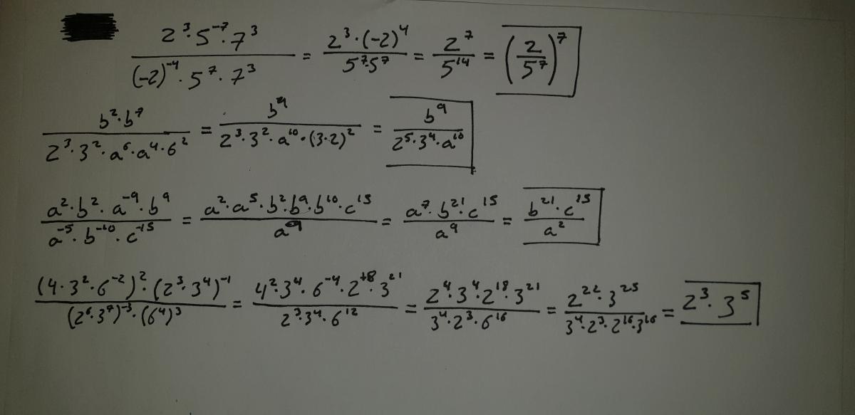
Observa que tienes la expresión de una suma infinita geométrica:
S = Σ(n=0,∞) ( (-1)n/10n ) = Σ(n=0,∞) ( (-1/10)n ),
cuya razón es:
r = -1/10, cuyo valor absoluto es: |r| = |-1/10| = |1/10| < 1,
por lo que tienes que la suma infinita geométrica es covergente;
y observa que su primer término es:
a0 = (-1)0/100 = 1/1 = 1 = a (observa que este es el valor del coeficiente a por el cuál consultas).
Luego, tienes que la suma geométrica infinita converge al valor:
S = a / (1-r) = 1 / ( 1-(-1/10) ) = 1 / (9/10) = 10/9.
Espero haberte ayudado.

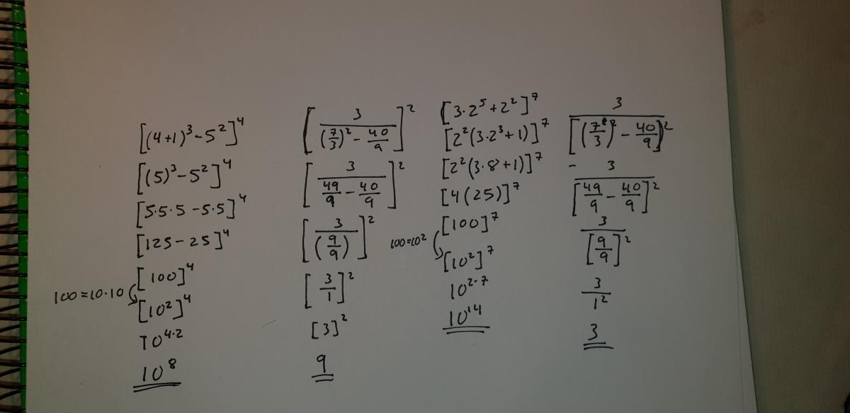
Recuerda la propiedad de las potencias con exponentes negativos:
(a/b)-n = (b/a)n, con n positivo.
a)
( 3/5 - (3/2)-2 )2 =
aplicas la propiedad de las potencias con exponente negativo en el segundo término del agrupamiento, y queda:
= ( 3/5 - (2/3)2 )2 =
resuelves el segundo término del agrupamiento (recuerda: (2/3)2 = (2/3)*(2/3) = 4/9), y queda:
= ( 3/5 - 4/9 )2 =
resuelves el argumento de la potencia (recuerda que debes extraer denominador común mínimo), y queda:
= ( 7/45 )2 =
resuelves (recuerda: (7/45)2 = (7/45)*(7/45) = 49/2025), y queda:
= 49/2025.
b)
( -2 - (-1/4)-3 )-2 =
aplicas la propiedad de las potencias con exponente negativo en el segundo término del agrupamiento, y queda:
= ( -2 - (-4/1)3 )-2 =
resuelves el segundo término del agrupamiento (recuerda: (-4/1)3 = (-4)3 = (-4)*(-4)*(-4) = -64), y queda:
= ( -2 - (-64) )-2 =
resuelves el argumento de la potencia (presta atención a los signos del segundo término), y queda:
= ( 62 )-2 =
aplicas la propiedad de las potencias con exponente negativo, y queda:
= ( 1/62)2 =
resuelves (recuerda: (1/62)2 = (1/62)*(1/62) = 1/3844), y queda:
= 1/3844.
Espero haberte ayudado.
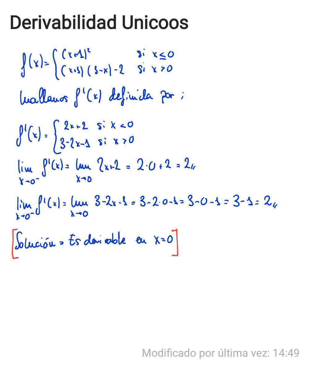
Buenas, como se resolvería el apartado b del siguiente ejercicio:![]()
La recta del apartado a la he calculado y es s: (x,y,z)= (5,-2,9)+λ(-21,-4,-9).
Gracias de antemano
Yo empezaría por crear un plano perpendicular a la recta r, que seria -2x-3y+6z=D (en la ecuación implicita de un plano se pone el vector normal al plano, en este caso el normal del plano es el de la recta).
Este plano no esta fijo en ningun punto, para que pase por el punto (5,-2,9) sustituye los valores de x, y y z en la ecuación del plano. Y esto te da que la ecuación del plano que pasa por este punto es: -2x-3y+6z=50.
Para encontrar el punto de la recta que pasa por el plano sustituye los valores de la recta r en la ecuación del plano:
x=1-2λ y=-1-3λ z=6λ → -2(1-2λ)-3(-1-3λ)+6(6λ)=50
Entonces encuentras un valor de λ, que es el punto en que la recta s se cruza con la recta r
λ=1 x=1-2*1 y=-1-3*1 z=6*1
(-1,-4,6)
PD: Y la ecuación de la recta es: (x,y,z)=(5,-2,9)+λ(6,2,3) o (x,y,z)=(-1,-4,6)+λ(6,2,3)