
¡Hola! Nos encantaría ayudarte, pero no solemos responder dudas universitarias que no tengan que ver específicamente con los vídeos que David Calle ha grabado como excepción. O de otras asignaturas que no sean Matemáticas, Física y Química. Lo sentimos de corazón… Esperamos que lo entiendas.
Ojalá algún unicoo universitario se anime a ayudarte (de hecho, lo ideal es que todos los universitarios intentarais ayudaros los unos a los otros).

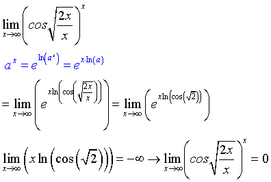
Tienes el límite:
L = Lím(x→+∞) ( cos( √(2*x/x) )x,
simplificas en el argumento de la raíz cuadrada, y queda:
L = Lím(x→+∞) ( cos( √(2) )x,
luego, escribes a la base de la potencia como una expresión exponencial con base natural, y queda:
L = Lím(x→+∞) ( eln( cos( √(2) ) ) )x,
aplicas la propiedad de una potencia cuya base es otra potencia, y queda:
L = Lím(x→+∞) ( ex*ln( cos( √(2) ) ) ),
aplicas la propiedad del límite de una función exponencial, y queda:
L = eLím(x→+∞) ( x*ln( cos( √(2) ) ) ),
luego, resuelves el límite en el exponente (observa que cos( √(2) ) ≅ 0,1559 < 1, por lo que su logaritmo es negativo, y el exponente tiende a -infinito), y queda:
L = 0.
Espero haberte ayudado.

Puedes llamar: x a a la cantidad de triciclos,
y observa que sus ruedas son en total 3x.
Puedes llamar: y a la cantidad de bicicletas,
y observa que sus ruedas son en total: 2y.
Luego, como tienes la relación entre las cantidades de vehículos vendidos, puedes plantear la ecuación:
x = 5y (1),
y como tienes la cantidad total de ruedas, puedes plantear la ecuación:
3x + 2y = 68;
luego, sustituyes la expresión señalada (1) en la segunda ecuación, y queda:
3(5y) + 2y = 68, resuelves el primer término, y queda:
15y + 2y = 68, reduces términos semejantes, y queda:
17y = 68, divides por 17 en ambos miembros, y queda:
y = 4 bicicletas;
luego, reemplazas el valor remarcado en la ecuación señalada (1), y queda:
x = 5(4), resuelves, y queda:
x = 20 triciclos.
Espero haberte ayudado.

Vamos con una orientación.
a)
(x+1)*(x+2)*(x+3) = x*(x+4)*(x+5),
desarrollas las multiplicaciones de los dos últimos factores en cada miembro, reduces términos semejantes, y queda:
(x+1)*(x2+5x+6) = x*(x2+9x+20),
desarrollas las multiplicaciones en ambos miembros, reduces términos semejantes, y queda:
x3 + 6x2 + 11x + 6 = x3 + 9x2 + 20x,
restas x3, restas 9x2 y restas 20x en ambos miembros, reduces términos semejantes, y queda:
-3x2 - 9x + 6 = 0,
divides por -3 en ambos miembros, y queda:
x2 + 3x - 2 = 0,
que es una ecuación polinómica cuadrática, cuyas soluciones son:
x = ( -3-√(17) )/2 y x = ( -3+√(17) )/2,
que son los valores de verdad del predicado m(x).
b)
Puedes proceder en forma similar al ejercicio anterior.
c)
Tienes la ecuación con variable x:
x2 - 4a*x + 4a2 - c2 = 0, asocias los términos independientes de la variable, y queda:
x2 - 4a*x + (4a2 - c2) = 0,
que es una ecuación polinómica cuadrática cuyos coeficientes son:
A = 1, B = -4a y C = (4a2 - c2),
luego, planteas la expresión de su discriminante, y queda:
D = B2 - 4*A*C, sustituyes expresiones, y queda:
D = (-4a)2 - 4*1*(4a2 - c2), resuelves términos, desarrollas, y queda:
D = 16a2 - 16a2 + 4c2, cancelas términos opuestos, y queda:
D = 4c2;
luego, planteas la expresión general de las soluciones de la ecuación polinómica cuadrática, y queda:
x = ( -B±√(D) )/(2*A), sustituyes expresiones, resuelves la raíz del discriminante, y queda:
x = (4a ± 2c)/2, distribuyes el denominador, y queda:
x = 2a ± c,
por lo que tienes que los valores de verdad del predicado q(x) son:
x = 2a + c y x = 2a - c.
d)
Puedes proceder en forma similar al ejercicio anterior.
e)
Tienes la ecuación con variable x:
(2x+a)/b - (x-b)/a = ( 3ax + (a-b)2 )/(ab),
multiplicas por a y por b en todos los términos de la ecuación, y queda:
a(2x + a) - b(x - b) = 3ax + (a-b)2,
desarrollas todos los términos, y queda:
2a*x + a2 - b*x + b2 = 3a*x + a2 - 2ab + b2,
restas a2, restas b2 y restas 3a*x en ambos miembros, cancelas términos opuestos, y queda:
2a*x - b*x - 3a*x = -2ab,
reduces términos semejantes y extraes factor común en el primer miembro, y queda:
-(a+b)*x = -2ab,
divides por -(a+b) en ambos miembros, y queda:
x = 2ab/(a+b),
que es la expresión del valor de verdad del predicado p(x),
y observa que debe cumplirse la condición:
a + b ≠ 0.
f)
Puedes proceder en forma similar al ejercicio anterior.
Haz el intento de terminar la tarea, y si te resulta necesario no dudes en volver a consultar.
Espero haberte ayudado.