Alguien me puede ayudar con este problema de intervalos de confianza? Gracias.
Se conoce, que el número de quesos
que se producen en la quesería del pastor del Gorbea, en cinco días consecutivos
han sido: 50,48,53,60,37; mientras que, en la quesería del competidor, el
pastor del Amboto, han sido: 40,51,62,55,64. Sabemos, además, que la distribución
del número de quesos en ambas queserías es normal. Se pide:
Para la resolución de todos los
apartados, considérese un nivel de significación del 5%
a) Construir el intervalo de confianza,
que nos permita conocer si ambas presentan la misma dispersión
b) Construir el intervalo de confianza
que nos permita saber, si ambas queserías producen igual número de quesos
c)
Aunque el tamaño de muestra es 5 y
asumiendo que el resultado conlleva a un error muy grande, construir el
intervalo de confianza que nos permita saber si ambas queserías producen el
mismo número de quesos, sin suponer la igualdad de varianzas.
d)
Determinar, cual debería ser el
tamaño muestral, que debemos obtener de ambas queserías, para que en las
condiciones del apartado b), y con el mismo valor de la varianza, que por datos
históricos es de 64 unidades, la longitud del intervalo en la estimación de las
medias de las producciones, fuese de 8 unidades.

Echales un vistazo...
Intervalo de confianzaA partir de ahí, se trata de que DESPUES DE IR A CLASE (ver los vídeos
relacionados con vuestras dudas) enviéis dudas concretas, muy concretas. Y que
nos enviéis también todo aquello que hayais conseguido hacer por vosotros
mismos. Paso a paso, esté bien o mal. No solo el enunciado. De esa manera
podremos saber vuestro nivel, en que podemos ayudaros, cuales son vuestros
fallos.... Y el trabajo duro será el vuestro. Nos cuentas ¿ok? #nosvemosenclase
;-)
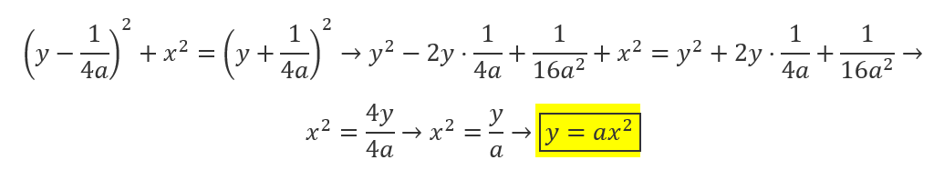
Me piden que demuestre que la funcion y= ax^2 es una parabola.. y al final queda esta formula, y me dice que desarrole los cuadrados, simplifique y que teniendo en cuenta que y= ax^2 , entonces lo q se quiere lograr es que quede que ambas son iguales. pero no se como hacerlo. ahi le dejo las fotos asi pueden desarrollar.![]()
Disculpen tengo que demostrar que (x-y) (x+y) es diferente a (x+y) (x-y)...... Mediante un método ya sea de deducción o de lo absurdo alguien q me ayude porfavor es urgente??