Buenas tengo esta funcion que esta encerrada con un cuadrado me pide hallar su inversa de esa funcion y solo pude llegar hasta donde se ve en la foto alguien me puede ayudar por favor no puedo despejar y, o alguien que me enseñe de que manera puedo sacar la inversa de esta funcion gracias de antemano.....por si no se llega a notar laparte de abajo es e elevado a x-1 y arriba es e elevado a x+1

Tienes la expresión de la función:
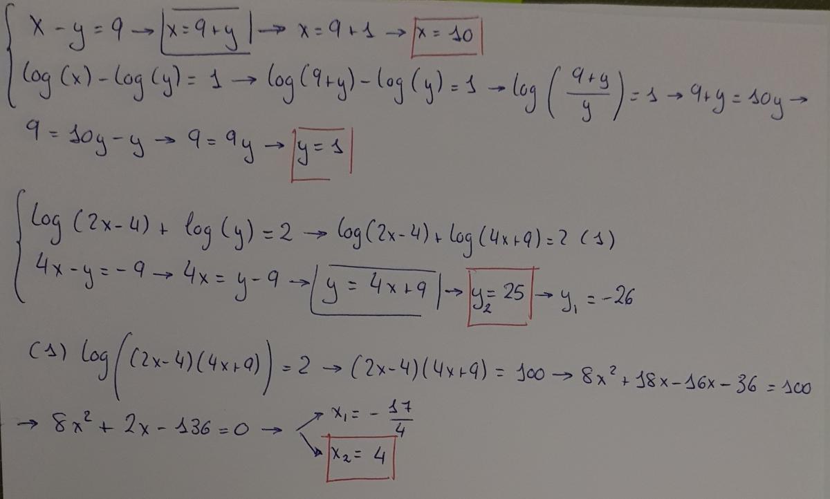
f(x) = (ex+1 - 3)/(ex-1 + 6),
y observa que su dominio es:
Df = (-∞,+∞) = R,
ya que su denominador es una suma de dos términos estrictamente positivos.
Luego, puedes plantear la expresión de los elementos de la imagen de la función:
f(x) = y, sustituyes la expresión de la función en el primer miembro, y queda:
(ex+1 - 3)/(ex-1 + 6) = y, multiplicas por (ex-1 + 6) en ambos miembros, y queda:
ex+1 - 3 = y*(ex-1 + 6), distribuyes el segundo miembro, y queda:
ex+1 - 3 = y*ex-1 + 6*y,
aplicas la propiedad de la multiplicación de potencias con bases iguales y de la división de potencias con bases iguales en las expresiones exponenciales, y queda:
ex*e - 3 = y*ex/e + 6*y, multiplicas por e en todos los términos de la ecuación, y queda:
ex*e2 - 3e = y*ex + 6e*y, restas y*ex y sumas 3e en ambos miembros, y queda:
ex*e2 - y*ex = 6e*y + 3e, extraes factores comunes en ambos miembros, y queda:
ex*(e2 - y) = 3e*(2y + 1), divides por (e2 - y) en ambos miembros, y queda:
ex = 3e*(2y + 1) / (e2 - y);
luego, observa que el primer miembro es estrictamente positivo por lo que el segundo miembro también debe serlo, compones en ambos miembros con la función inversa del logaritmo natural, y queda:
x = ln( 3e*(2y + 1) / (e2 - y) ), aplicas la propiedad del logaritmo de una multiplicación, y queda:
x = ln(3) + ln(e) + ln( (2y + 1) / (e2 - y) ), resuelves el segundo término, y queda:
x = ln(3) + 1 + ln( (2y + 1) / (e2 - y) ) (1),
que es la expresión de un elemento del dominio de la función en función de su elemento correspondiente en la imagen,
y observa que tienes dos opciones para el argumento del logaritmo natural:
a)
2y + 1 > 0 y e2 - y > 0, y de aquí despejas:
y > -1/2 y y < e2, que conduce al intervalo:
Ia = (-1/2, e2);
b)
2y + 1 < 0 y e2 - y < 0, y de aquí despejas:
y < -1/2 y y > e2, que son inecuaciones incompatibles, por lo que tienes:
Ib = Φ;
luego, planteas que la imagen de la función es igual a la unión de los dos intervalos, y queda:
If = (-1/2, e2).
Luego, permutas variables en la ecuación señalada (1), y queda:
y = ln(3) + 1 + ln( (2x + 1) / (e2 - x) ),
que es la expresión de la función inversa, por lo que puedes expresarla:
f-1(x) = ln(3) + 1 + ln( (2x + 1) / (e2 - x) ),
cuyo dominio coincide con la imagen de la función de tu enunciado, por lo que queda expresado:
D1 = (-1/2, e2),
y cuya imagen coincide que el dominio de la función de tu enunciado, por lo que queda expresada:
I1 = (-∞,+∞) = R.
Espero haberte ayudado.
Porfavor me podriais decir donde puedo encontrar problemas aritmeticos de 2 de la eso
de grifos con desague y sin desague
Hola, estaba con este problema de la ABAU
9. Dadas las rectas y a) Estudia la posición relativa de r y s . Calcula la distancia de r a s . b) Se dos lados de un rectángulo están sobre las rectas r y s y dos vértices consecutivos del rectángulo son los puntos A(0,1,1) y B(0,4,4), calcula las coordenadas de los otros dos vértices y el área del rectángulo.
y la verdad es que el apartado b) no sé hacerlo, alguien podría darme indicaciones? Infinitas^(infinitas) gracias :-)
Me podéis ayudar con este problema?
Un vendedor compra un número determinado de garrafas de 10litros de aceite por un total de 180€.
El aceite lo envasa en botellas de 2 litros y las vende a 30€ cada una.
¿ Cuantas garrafas ha de comprar para obtener una ganancia de 270€?
Gracias
Holaaa! Me podési ayudar con este ejercicio de espacios duales? Tengo dudas con el apartado 3c.
Muchas graciias!!

¡Hola! Nos encantaría ayudarte, pero no solemos responder dudas universitarias que no tengan que ver específicamente con los vídeos que David Calle ha grabado como excepción. O de otras asignaturas que no sean Matemáticas, Física y Química. Lo sentimos de corazón… Esperamos que lo entiendas.
Ojalá algún unicoo universitario se anime a ayudarte (de hecho, lo ideal es que todos los universitarios intentarais ayudaros los unos a los otros).