
Una matriz no tiene inversa si su determinante es 0. Haz el determinante de B e igualalo a 0, para obtener el valor de t.
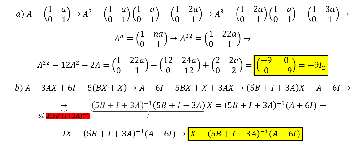
Despeja X... Como en estos vídeos... Ecuaciones matriciales
Se trata de que DESPUES DE IR A CLASE (ver los vídeos relacionados con
vuestras dudas) enviéis dudas concretas, muy concretas. Y que nos enviéis
también todo aquello que hayais conseguido hacer por vosotros mismos. Paso a
paso, esté bien o mal. No solo el enunciado. De esa manera podremos saber
vuestro nivel, en que podemos ayudaros, cuales son vuestros fallos.... Y el
trabajo duro será el vuestro. Nos cuentas ¿ok? #nosvemosenclase ;-)
Hola, no logro entender este apartado del ejercicio.
El enunciado dice así: expresa cada enunciado como inecuación, como intervalo y gráficamente.
y el aparado es: a)Números menores que 9 y mayores o iguales que 4.
¡Gracias por vuestro tiempo!
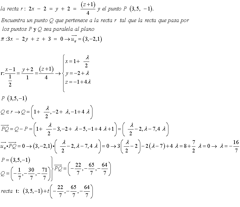
Hola, me gustaria saber como hacer el siguiente ejercicio, gracias
Consuderamos la recta r: 2x - 2 = y + 2 = (z+1)/ 4 y el punto P (3,5, -1). Encuentra un punto Q que pertenece a la recta r con tal que la recta que pasa por los puntos P i Q sea paralela al plano π: 3x - 2y + z + 3 = 0