Foro de preguntas y respuestas de Matemáticas

logo beUnicoos
Los foros de unicoos se han unificado en nuestra nueva plataforma beUnicoos. Para dejar nuevas preguntas deberás hacerlo allí, donde además podrás encontrar nuevas asignaturas y herramientas para ayudarte más con tus estudios.

  • icon

    Alicia De Diego de Amorim
    el 29/12/18

    me he hecho un lío tremendo con este ejercicio . ¿Podríais resolvermelo , por favor?

    replythumb_up0 voto/sflag
    icon

    Antonius Benedictus
    el 29/12/18


    thumb_up1 voto/sflag
  • icon

    Marco Tarazona
    el 29/12/18

    una ayuda con esta pregunta por favor:

    replythumb_up0 voto/sflag
    icon

    Antonius Benedictus
    el 29/12/18


    thumb_up0 voto/sflag
    icon

    Marco Tarazona
    el 30/12/18

    una consulta como resolvió el sistema de 4 ecuaciones , que método utilizo por favor

    thumb_up0 voto/sflag
  • icon

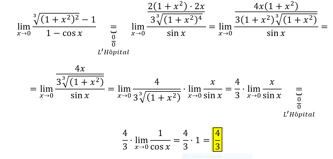
    David
    el 29/12/18

    Hola buenas me podríais ayudar con este limite por favor? si puede ser resuelto con Hopital



    replythumb_up0 voto/sflag
    icon

    Antonius Benedictus
    el 29/12/18


    thumb_up0 voto/sflag
  • icon

    Martina Mejía
    el 29/12/18
    flag

    Hola muy buenas, podrían explicarme como resolver estos ejercicios por favor, se les agradece por su ayuda por su ayuda. :)


    replythumb_up0 voto/sflag
    icon

    David
    el 8/1/19

    Lo siento Martina pero no podemos ni debemos haceros los deberes.

    Se trata de que DESPUES DE IR A CLASE (ver los vídeos relacionados con vuestras dudas) enviéis dudas concretas, muy concretas. Y que nos enviéis también todo aquello que hayais conseguido hacer por vosotros mismos. Paso a paso, esté bien o mal. No solo el enunciado. De esa manera podremos saber vuestro nivel, en que podemos ayudaros, cuales son vuestros fallos.... Y el trabajo duro será el vuestro. Nos cuentas ¿ok? #nosvemosenclase ;-)


    thumb_up0 voto/sflag
  • icon

    comando bachuerino
    el 29/12/18

    Hola tengo un ejercicio en el que me da la ecuacion de un plano (x+2y+z=1) y un punto que no pertenece al plano (3,1,2) y me pide a) el punto del plano que este mas cerca del punto dado, para eso he inventado una recta r perpendicular al plano y que pase por ese punto y he puesto que el punto donde corta la recta al plano pi es el mas cercano (no se si estara bien) y en el apartado b) me pide la ecuacion del plano paralelo al dado anteriormente y que forma un triangulo de area √6 y ese apartado si que no tengo idea de como hacerlo

    replythumb_up0 voto/sflag
    icon

    Antonio Silvio Palmitano
    el 29/12/18

    Para el primer apartado es correcto el planteo que propones.

    Para el segundo apartado: suponemos que el triángulo es la porción del plano que se encuentra en el primer octante.

    Luego, planteas la expresión del plano (observa que tienes que es paralelo al plano cuya ecuación tienes en tu enunciado), y queda:

    x + 2y + z = k, con k ∈ R (a determinar).

    Luego, anulas de a dos las incógnitas en esta ecuación, despejas la tercera incógnita, y tienes que los punto de intersección de este plano con los ejes coordenados quedan expresados:

    A(k,0,0), B(0,k/2,0), C(0,0,k) (observa que k debe tomar un valor positivo).

    Luego, considera a uno de esos puntos (por ejemplo el punto A) como punto de aplicación, y puedes plantear las expresiones de los vectores:

    u = AB = < 0-k , k/2-0 , 0-0 > = < -k , k/2 , 0 >,

    v = AC = < 0-k , 0-0 , k-0 > = < -k , 0 , k >.

    Luego, planteas la expresión del producto vectorial entre los dos vectores, y queda:

    u x v = < k2/2 , k2 , k2/2 >,

    cuyo módulo queda expresado:

    |u x v| = √( (k2/2)2 + (k2)2 + (k2/2)2 ) = √( k4/4 + k4 + k4/4 ) = √( 6k4/4 ) = √(6)k2/2.

    Luego, recuerda que el módulo del producto vectorial es igual al área del paralelogramo determinado por los dos vectores, y que el área del triángulo determinado por ellos al que refiere tu enunciado es igual a la mitad del área del paralelogramo, por lo que puedes plantear:

    Apar/2 = Atr,

    sustituyes la expresión del módulo del producto vectorial en el primer miembro, reemplazas el valor del área del triángulo que tienes en tu enunciado en el segundo miembro, y queda:

    (√(6)k2/2)/2 = √(6),

    resuelves el primer miembro, y queda:

    √(6)k2/4 = √(6),

    multiplicas en ambos miembros por 4/√(6), y queda:

    k2 = 4,

    extraes raíz cuadrada positiva en ambos miembros (recuerda que k debe ser positivo), y queda:

    k = 2;

    luego, reemplazas el valor remarcado en la ecuación del plano que tienes planteada, y queda:

    x + 2y + z = 2,

    reemplazas también dicho valor en las expresiones de los vértices del triángulo, resuelves coordenadas, y queda:

    A(2,0,0), B(0,1,0), C(0,0,2).

    Espero haberte ayudado.

    thumb_up0 voto/sflag
  • icon

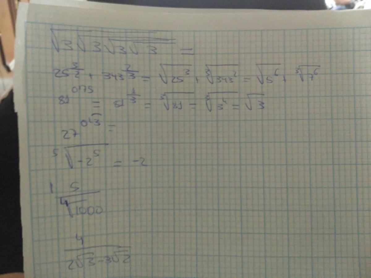
    Cristina
    el 29/12/18

    No entiendo cómo hacerlos me podrían ayudar?


    replythumb_up0 voto/sflag
    icon

    Antonio Silvio Palmitano
    el 29/12/18

    Vamos con orientaciones, pero sería muy conveniente para ti que mires los vídeos relacionados con el tema de este ejercicio.

    1)

    √( 3*√( 3*√( 3*√(3) ) ) ) = reemplazas: √(3) = 31/2:

    √( 3*√( 3*√( 3*31/2 ) ) ) = reemplazas: √(3*31/2)√(31+1/2√(33/2) = (33/2)1/2 = 3(3/2)*(1/2) = 33/4:

    √( 3*√( 3*33/4 ) ) = reemplazas: √(3*33/4) = √(31+3/4√(37/4) = (37/4)1/2 = 3(7/4)*(1/2) = 37/8:

    √( 3*37/8 ) = reemplazas: √(3*37/8) = √(31+7/8√(315/8) = (315/8)1/2 = 3(15/8)*(1/2) = 315/16:

    = 315/16.

    2)

    253/2 + 3432/3 = reemplazas: 25 = 52 y 343 = 73, y queda:

    = (52)3/2 + (73)2/3 = aplicas la propiedad de una potencia cuya base es otra potencia en ambos términos:

    = 52*(3/2) + 73*(2/3) = resuelves los exponentes:

    = 53 + 72 = resuelves términos:

    = 125 + 49 = 174.

    3)

    810,75 = reemplazas: 81 = 34:

    = (34)0,75 = aplicas la propiedad de una potencia cuya base es otra potencia:

    = 34*0,75 = resuelves el exponente:

    = 33= 27.

    4)

    5√(-25) = 5√(-1*25) = distribuyes la raíz:

    5√(-1)*5√(25) = resuelves la primera  raíz, simplificas raíz y potencia en el segundo factor

    = -1*2 = -2.

    5)

    5 / 4√(1000) = reemplazas: 1000 = 23*53:

    = 5 / 4√(23)*4√(53) = multiplicas por 4√(2) y por 4√(5) en el numerador y en el denominador:

    = 5*4√(2)*4√(5) / 4√(23)*4√(2)*4√(53)*4√(5) = 

    asocias factores en el numerador, asocias factores con argumentos iguales en el denominador, y queda:

    = 5*4√(2*5) / 4√(23*2)*4√(53*5) = resuelves argumentos en las raíces:

    5*4√(10) / 4√(24)*4√(54) = simplificas raíces y potenciad en el denominador:

    5*4√(10) / 2*5 = simplificas factor y divisor racional:

    4√(10) / 2.

    6)

    4 / ( 2*√(3) - 3*√(2) ) = 

    multiplicas al numerador y al denominador por la expresión "conjugada" del denominador, y queda:

    = 4*( 2*√(3) + 3*√(2) ) / ( 2*√(3) - 3*√(2) )*( 2*√(3) + 3*√(2) ) = 

    distribuyes en el denominador (observa que resolvemos raíces y potencias), y queda:

    = 4*( 2*√(3) + 3*√(2) ) / ( 4*3 + 2*3√(3)*√(2) - 3*2*√(2)*√(3) - 9*2 ) =

    cancelas términos opuestos y resuelves multiplicaciones en el denominador, y queda:

    4*( 2*√(3) + 3*√(2) ) / ( 12 -  18 ) =

    resuelves el denominador, y queda:

    4*( 2*√(3) + 3*√(2) ) / ( -6 ) =

    simplificas y resuelves el signo:

    = -2*4*( 2*√(3) + 3*√(2) ) / 3.

    Espero haberte ayudado.

    thumb_up0 voto/sflag
    icon

    Antonio
    el 29/12/18

    Hola, siento haber tardado en responder.

    Aquí adjunto una imagen con los pasos que hay que seguir para resolver los ejercicios.

    Espero que sea útil, un saludo.

    thumb_up0 voto/sflag
  • icon

    Cristina
    el 29/12/18

    Hola estos ejercicios están bien realizados? Gracias


    replythumb_up0 voto/sflag
    icon

    Antonio
    el 29/12/18

    Hola, los de la pregunta 1 están bien (salvo el b, que no está contestado). Como he visto que luego lo preguntas de nuevo, te intentaré responder más tarde en la otra pregunta. Lo único, que podrías simplificar el apartado a) haciendo: 23/12 = 21/4 

    En la pregunta 2: en el apartado a) el denominador es la diferencia de cuadrados 7 - 5 = 2 ; por tanto, en el resultado final podrías simplificar quitando el 2 del denominador: (12 + 2√35) / 2 = 6 + √35 (sacando factor común en el numerador, 2, se tacha con el 2 del denominador).

    En el apartado b) en el penúltimo paso el denominador se queda en 10, ya que la raíz cuarta de 104 es 10. Finalmente, simplificando 5/10, se te quedaría en: 4√10 / 2

    Espero que te haya servido, un saludo.

    thumb_up0 voto/sflag
  • icon

    Y3
    el 29/12/18

    Cómo se llama este paso? Podrías desarrollarlo un pelín por favor, graciaas <3

    replythumb_up0 voto/sflag
    icon

    César
    el 29/12/18


    thumb_up0 voto/sflag
  • icon

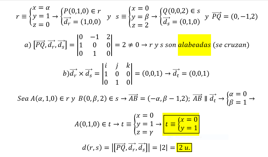
    David Poyatos
    el 29/12/18

    DBuenas, podrían ayudarme con el calculo de la recta pedida en el apartado b del siguiente ejercicio. Gracias


    replythumb_up0 voto/sflag
    icon

    Antonio
    el 29/12/18

    Intenta dibujarlas y verás que:

    la recta pedida es

    x=0

    y=1

    siendo distancia 2 unidades



    thumb_up0 voto/sflag
    icon

    Antonius Benedictus
    el 29/12/18


    thumb_up0 voto/sflag
  • icon

    Paula H
    el 29/12/18

    Hola, me podrían ayudar a resolver este sistema, la solución es la que se llama V3 pero no se de donde la han sacado ni que han hecho para sacarla,(a mi me da diferente .Gracias

    replythumb_up0 voto/sflag
    icon

    Antonio Silvio Palmitano
    el 29/12/18

    Resuelves la multiplicación en el primer miembro, y la ecuación matricial queda:

    (3-b)*x + y + z = 0 (1),

    0 = 0 (observa que aquí tienes una Identidad Verdadera),

    2*y + (3-b)*z = 0, de aquí despejas: y = -( (3-b)/2 )*z (2);

    luego, sustituyes la expresión señalada (2) en la ecuación señalada (1), y queda:

    (3-b)*x - ( (3-b)/2 )*z + z = 0, sumas ( (3-b)/2 )*z y restas z en ambos miembros, y queda:

    (3-b)*x = ( (3-b)/2 )*z - z, extraes factor común (z) en el segundo miembro, y queda:

    (3-b)*x = ( (3-b)/2 - 1 )*z, distribuyes el primer término en el agrupamiento del segundo miembro, y queda:

    (3-b)*x = (3/2 - b/2 - 1)*z, reduces términos numéricos en el agrupamiento del segundo miembro, y queda:

    (3-b)*x = (1/2 - b/2)*z, extraes denominador común en el agrupamiento del segundo miembro, y queda:

    (3-b)*x = ( (1-b)/2 )*z, divides por (3-b) en ambos miembros (observa que b no puede tomar el valor 3), y queda:

    x = ( (1-b)/( 2*(3-b) ) )*z (3).

    Luego, planteas la expresión del vector solución:

    v = < x , y , z >,

    sustituyes las expresiones señaladas (3) (2), y queda:

    v = < ( (1-b)/( 2*(3-b) ) )*z , -( (3-b)/2 )*z , z >,

    extraes factor escalares (z/2), y queda:

    v = (z/2) * < (1-b)/3-b) , -(3-b) , 2 >,

    distribuyes el signo y ordenas términos en la segunda componente de la expresión vectorial, y queda:

    v = (z/2) * < (1-b)/3-b) , b-3 , 2 >;

    por lo que tienes que los múltiplos escalares del vector:

    V = < (1-b)/3-b) , b-3 , 2 >,

    son soluciones de la ecuación matricial,

    con la condición: ≠ 3.

    Espero haberte ayudado.

    thumb_up1 voto/sflag
    icon

    Paula H
    el 29/12/18

    puede explicarme más la parte en la que extrae factor escalares (z/2) y queda v = (z/2) * < (1-b)/3-b) , b-3 , 2 > 

    lo que no entiendo bien es de donde sale el 2. Gracias

    thumb_up0 voto/sflag
    icon

    Antonio Silvio Palmitano
    el 29/12/18

    Observa que justo antes de hacer la extracción de factor escalar, tienes que la expresión del vector es:

    v = < ( (1-b)/( 2*(3-b) ) )*z , -( (3-b)/2 )*z , z >,

    multiplicas y divides por 2 en la tercera componente, y queda:

    v = < ( (1-b)/( 2*(3-b) ) )*z , -( (3-b)/2 )*z , 2*z/2 >,

    resuelves las multiplicaciones en las dos primeras componentes, y queda:

    v = < (1-b)*z / ( 2*(3-b) ) , -(3-b)*z /2 , 2*z/2 >,

    luego, observa que z es un factor común en todos los numeradores de las expresiones de las componentes, y que 2 es un factor común en todos sus denominadores, por lo que extraes ambos factores escalares, y queda:

    v = (z/2) * < (1-b) / (3-b) , -(3-b) , 2 >,

    que es la expresión que sigue en el desarrollo anterior.

    Espero haberte ayudado.

    thumb_up1 voto/sflag