Hola unicoos,¿ puede hacer alguien el apartado A por el metodo de discos?
gracias

¿Has visto estos videos?....
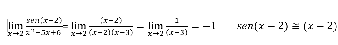
Volumen de revolución 01 - Método de los discosBuenas tengo este limite lo intente resolver sin aplica L Hopital y llegue hasta ahi y de ahi ya no puedo pasar sigo en una indeterminacion... alguien me puede ayudar por favr.... por cualquier metodo que no sea L Hopital el resultado es -1 segun el libro.... yo lo resolvi por L Hopital y si sale -1 pero aplicando otro metodo no lo pude lograr espero que alguien me ayude gracias de antemano
buenas tengo este limite y lo intente resolver por cambio de variable y no pude porque se me sigue complicando al momento de resolver.... alguien me puede ayudar por favor por cualquier metodo que no sea L Hopital.... necesito resolver el limite por cualquier metodo reduccion sustitucion o alguno que sea similar.... que no sea por L Hopital por favor
Hola este ejercicio dice asi: encuentra la ecuacion de la recta con pendiente positiva que es tangente a la circunferencia x^2+y^2-8x=0 y tambien a la hiperbola x^2/9 - y^2/4 = 1

Te ayudo con un planteo por etapas posible.
1°)
Tienes una ecuación cartesiana implícita de la circunferencia:
x2 + y2 - 8*x = 0 (1);
luego, derivas implícitamente con respecto a x, y queda:
2*x + 2*y*y ' - 8 = 0 (2);
luego, puedes llamar: P(a,b) al punto de contacto de la recta tangente con la circunferencia,
reemplazas sus coordenadas en las ecuaciones señaladas (1) (2), y queda:
a2 + b2 - 8*a = 0 (1*),
2*a + 2*b*y ' - 8 = 0, aquí divides por 2 en todos los términos, y queda:
a + b*y ' - 4 = 0, aquí sumas 4 y restas a en ambos miembros, y queda:
b*y ' = 4 - a, aquí divides por b en ambos miembros (observa que b no debe ser igual a cero), y queda:
y ' = (4 - a)/b, por lo que tienes que la pendiente de la recta tangente queda expresada:
m = (4 - a)/b (2*).
2°)
Tienes una ecuación cartesiana canónica de la hipérbola:
x2/9 - y2/4 = 1, aquí multiplicas por 36 en todos los términos, y queda:
4*x2 - 9*y2 = 36 (3);
luego, derivas implícitamente con respecto a x, y queda:
8*x - 18*y*y ' = 0 (4);
luego, puedes llamar: Q(c,d) al punto de contacto de la recta tangente con la hipérbola,
reemplazas sus coordenadas en las ecuaciones señaladas (1) (2), y queda:
4*c2 - 9*d2 = 36 (3*),
8*c - 18*d*y ' = 0, aquí divides por 2 en todos los términos, y queda:
4*c - 9*d*y ' = 0, aquí restas 4*c en ambos miembros, y queda:
-9*d*y ' = -4*c, aquí divides por -9*d en ambos miembros (observa que d no debe ser igual a cero), y queda:
y ' = 4*c/(9*d), por lo que tienes que la pendiente de la recta tangente queda expresada:
m = 4*c/(9*d) (4*).
Luego, con las expresiones de los puntos de contacto de la recta tangente con las dos curvas, tienes que la pendiente de la recta queda expresada:
(d-b)/(c-a) = m, aquí multiplicas por (c-a) en ambos miembros (observa que a y c no deben ser iguales), y queda:
d - b = m*(c - a) (5).
3°)
Con las ecuaciones señaladas (1*) (2*) (3*) (4*) (5) tienes el sistema de cinco ecuaciones con cinco incógnitas:
a2 + b2 - 8*a = 0 (1*),
m = (4 - a)/b (2*),,
4*c2 - 9*d2 = 36 (3*),
m = 4*c/(9*d) (4*).
d - b = m*(c - a) (5).
4°)
Queda que resuelvas el sistema de ecuaciones, lo que no es una tarea sencilla.
Haz el intento, y si te resulta necesario, no dudes en volver a consultar.
Espero haberte ayudado.