
Me encantaría ayudarte, pero no respondo dudas universitarias que no tengan que ver específicamente con los videos que ya he grabado como excepcion. O de otras asignaturas que no sean matemáticas, física y química. Lo siento de corazón… Espero lo entiendas
Ojalá algun unicoo universitario se anime a ayudarte (de hecho lo ideal es que todos los universitarios intentarais ayudaros los unos a los otros)
queria saber teniendo la ecuacion de la recta f(x)=-3x+1 ¿es paralela al eje x e y? y ¿tambien cual es seria la ecuacion de esas paralelas?

considere los puntos P(2,-1,5) y Q(3,-3,8), sea L1 la línea a través de P y Q
a) Muestra que PQ(vector)= (1,-2,3)
b)La linea L1 dbe estar representada por r=(3,-3,8)+s(1,-2,3)
i)¿Que información da el vector (3,-3,8) da sobre L1?
ii)escribe otro vector en represntación para L1 , usando (3,-3,8)
el punto T (-1,5,p) se une con L1
c) Halla el valor de p
El punto T también se une en L2 con la ecuación (x,y,z)=(-3,9,2)+t(1,-2,q)
d) Prueba que q=-3
e) sea θ el ángulo obtuso entre L1 y L2, calcule el ángulo de θ

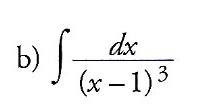
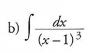
Se trata de una integral inmediata, simplemente para el denominador, al numerador poniendo el exponente negativo y aplica la siguiente fórmula;
(1÷N+1)×F(x)^N+1 La función dividida por el número más uno y multiplicada por la función elevada al número más uno.
Espero que te ayude, el profe también explica las primitivas inmediatas en sus vídeos. Un saludo ;)
El teorema de Rolle pide unas condiciones que
en el primer intervalo no se cumplen, fíjate que la función no está definida para valores mayores √5 o menores que -√5;
pero en el segundo si se cumplen todas las condiciones por lo que existe ese punto el cual es x=0.