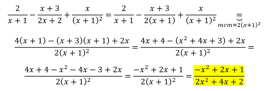
Buenos Dias, tengo 45 años y estoy planteándome el acceder por experiencia laboral al grado de ADE para el curso 2019-2020. He visto que en matemáticas I y II se ven funciones, derivadas, integrales, calculo integral, matrices simétricas, etc..., y yo soy de F.P., con lo que nunca he visto nada de eso. Me gustaría que me indicarais por donde debo empezar porque quiero coger base y no quiero que me suene todo a chino cuando empiece, ya que en el grado se tocan muchas matemáticas. Muchas gracias por vuestra ayuda.

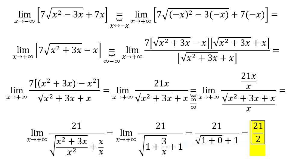
Tienes el límite:
Lím(x→-∞) ( 7*√(x2-3*x) + 7*x ) =
extraes factor común numérico en el argumento, luego extraes dicho factor común numérico, y queda:
= 7 * Lím(x→-∞) ( √(x2-3*x) + x ) =
extraes factor común en el argumento de la raíz, y queda:
= 7 * Lím(x→-∞) ( √( x2*(1-3/x) ) + x ) =
distribuyes la raíz en el primer término del argumento, y queda:
= 7 * Lím(x→-∞) ( √( x2)*√(1-3/x) ) + x ) =
simplificas la raíz y la potencia en el primer factor del primer término en el denominador (observa que tienes una raíz de índice par y una potencia con exponente par), y queda:
= 7 * Lím(x→-∞) ( |x|*√(1-3/x) ) + x ) =
resuelves el valor absoluto (observa que x toma valores negativos), y queda:
= 7 * Lím(x→-∞) ( -x*√(1-3/x) ) + x ) =
extraes factor común en el argumento, y queda:
= 7 * Lím(x→-∞) ( x * (-√(1-3/x) + 1) ) =
multiplicas y divides en el argumento por la expresión "conjugada" del factor remarcado, y queda:
= 7 * Lím(x→-∞) ( x * (-√(1-3/x) + 1)*(-√(1-3/x) - 1) / (-√(1-3/x) - 1) ) =
distribuyes la multiplicación de los dos agrupamientos en el numerador del argumento, reduces expresiones, cancelas términos literales opuestos, y queda:
= 7 * Lím(x→-∞) ( x * (1-3/x - 1) / (-√(1-3/x) - 1) ) =
cancelas términos opuestos en el agrupamiento en el numerador, y queda:
= 7 * Lím(x→-∞) ( x * (-3/x) / (-√(1-3/x) - 1) ) =
extraes el factor numérico y simplificas en el numerador del argumento, y queda:
= -21 * Lím(x→-∞) ( 1 / (-√(1-3/x) - 1) ) =
resuelves el límite (observa que el denominador del argumento tiende a -2), y queda:
= -21 * (-1/2) =
= 21/2.
Espero haberte ayudado.
Buenas tardes, quería saber si este dominio esta bien , z=tan(πxy) y≠(kπ+π/2).1/πx? Gracias

Observa que el argumento de la tangente trigonométrica impone la condición:
πxy ≠ kπ + π/2, con k ∈ Z;
luego divides por π en todos los términos de la ecuación negada, y queda:
xy ≠ k+1/2, con k ∈ Z;
Luego, puedes plantear la expresión del dominio de la función:
D = { (x,y) ∈ R2 : xy ≠ k+1/2, con k ∈ Z } ,
o también puedes expresarlo en la forma:
D = R2 - { (x,y) ∈ R2 : xy = k+1/2, con k ∈ Z }.
Espero haberte ayudado.

Vamos con el Método de Gauss.
Planteas la expresión de la matriz ampliada del sistema, y queda:
1 2 -3 5
3 -1 2 1
5 3 -4 11
A la segunda fila le restas el triple de la primera, a la tercera fila le restas el quíntuple de la primera, y queda:
1 2 -3 5
0 -7 11 -14
0 -7 11 -14
A la tercera fila le restas la segunda, y queda:
1 2 -3 5
0 -7 11 -14
0 0 0 0
A la segunda fila la divides por -7, y queda:
1 2 -3 5
0 1 -11/7 2
0 0 0 0
A la primera fila le restas el doble de la segunda fila, y queda:
1 0 1/7 1
0 1 -11/7 2
0 0 0 0
Luego, observa que tienes la expresión de la matriz ampliada reducida y escalonada equivalente por filas,
por lo que planteas el sistema equivalente al sistema de tu enunciado, y queda:
x + (1/7)z = 1,
y - (11/7)z = 2,
0 = 0;
luego, observa que en la tercera línea tienes una Identidad Verdadera, por lo que restas (1/7)z en ambos miembros de la primera ecuación, sumas (11/7)z en ambos miembros de la segunda ecuación, y queda:
x = 1 - (1/7)z,
y = 2 + (11/7)z,
z ∈ R,
por lo que tienes que el sistema es compatible indeterminado y admite infinitas soluciones, que puedes obtener a partir de las expresiones remarcadas.
Espero haberte ayudado.

Observa la figura, en la que tienes tres rectas:
RA, que contiene al lado del triángulo señalado A, que pasa por los puntos (0,0) y (5,10),
en la que tienes que su pendiente es: mA = (10-0)/(5-0) = 10/5 = 2,
y su ecuación cartesiana queda: y-0 = 2(x-0), cancelas términos nulos, y queda: y = 2x (1).
RB, que contiene al lado del triángulo señalado B, que pasa por los puntos (0,0) y (10,5),
en la que tienes que su pendiente es: mB = (5-0)/(10-0) = 5/10 = 1/2,
y su ecuación cartesiana queda: y-0 = (1/2)(x-0), cancelas términos nulos, y queda: y = (1/2)x (2).
RC, que contiene al lado del triángulo señalado C, que pasa por los puntos (5,10) y (10,0),
en la que tienes que su pendiente es: mC = (0-10)/(5-0) = -10/5 = -2,
y su ecuación cartesiana queda: y-10 = -2(x-5), despejas, y queda: y = -2x + 20 (3).
Luego, observa que el triángulo sombreado tiene vértices en los puntos: M(0,0), N(5,10) y P(a,b),
y para determinar las coordenadas del vértice P, observa que éste es el punto de intersección entre las rectas RB y RC,
por lo que reemplazas las coordenadas del vértice P en las ecuaciones señaladas (2) (3), y queda el sistema:
b = (1/2)a (4),
b = -2a + 20 (5);
luego, igualas las expresiones señaladas (4) (5) y queda la ecuación:
(1/2)a = -2a + 20, multiplicas pos dos en todos los términos, y queda:
a = -4a + 40, sumas 4x en ambos miembros, y queda:
5a = 40, divides por 5 en ambos miembros, y queda:
a = 8, que es el valor de la abscisa del vértice P,
luego, reemplazas este valor en las ecuaciones señaladas (4) (5), resuelves, y en ambas queda:
b = 4, que es el valor de la ordenada del vértice P,
por lo que tienes que la expresión de este vértice es: P(8,4).
Luego, planteas las distancias entre los vértices dos a dos, y tienes las longitudes de los lados del triángulo sombreado:
|A| = d(M,N) = √( (5-0)2+(10-0)2 ) = √(25+100) = √(125) (6),
|B| = d(M,P) = √( (8-0)2+(4-0)2 ) = √(64+16) = √(80) (7),
|C| = d(N,P) = √( (8-5)2+(4-10)2 ) = √(9+36) = √(45) (8);
luego, observa que se cumple la ecuación pitagórica, que relaciona las longitudes de los lados de un triángulo rectánculo:
|B|2 + |C|2 = ( √(80) )2 + ( √(45) )2 = 80 + 45 = 125 = |A|2,
por lo que tienes que el triángulo sombreado es rectángulo en el vértice P, que el lado A es su hipotenusa,
y que los lados B y C son sus catetos (base y altura).
Luego, planteas la expresión del área del triángulo sombreado, y queda:
ATS = (1/2)*|B|*|C|, reemplazas valores, y queda:
ATS = (1/2)*√(80)*√(45), asocias los factores irracionales (observa que multiplicamos los argumentos de las raíces), y queda:
ATS = (1/2)*√(3600), resuelves la raíz, y queda:
ATS = (1/2)*60 = 30 cm2.
Espero haberte ayudado.