Alguien a quién se le de bien la progresión geométrica y pueda explicármela bien paso a paso. Solo quiero saber calcular la razón y el término general, y hallar la suma de los n primeros términos de una progresión geométrica.
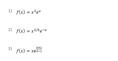
Buenas, me piden en un ejercicio de Fundamentos de Matemáticas de primer año de carrera que busque una función continua solo en 0 y no tengo ninguna idea, me podrías dar un ejemplo o una forma de conseguirla?

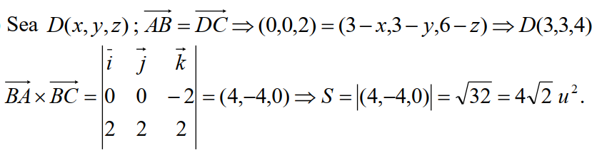
Tienes las expresiones de los vectores, de los que indicamos sus módulos:
A = <1,1,1> y |A| = √(3),
u = <1,1,0> y |u| = √(2),
v = <-1,1,0> y |v| = √(2),
w = <0,0,1> y |w| = 1.
Luego, planteas las expresiones de los módulos de las componentes según los vectores que te indican en función del producto escalar y del módulo del vector sobre el cuál se hace la proyección, y queda:
a)
|Au| = A•u/|u| = <1,1,1>•<1,1,0>/√(2) = 2/√(2) = √(2);
luego, la expresión vectorial de esta proyección queda:
Au = |Au|*u/|u| = √(2)*<1,1,0>/√(2) = <1,1,0> = i + j,
por lo que esta proposición es Verdadera.
b)
|Av| = A•v/|v| = <1,1,1>•<-1,1,0>/√(2) = 0/√(2) = 0;
luego, la expresión vectorial de esta proyección queda:
Av = |Av|*v/|v| = 0*<-1,1,0>/√(2) = <0,0,0> ≠ -i + j,
por lo que esta proposición es Falsa.
c)
|Aw| = A•w/|w| = <1,1,1>•<0,0,1>/1 = 1;
luego, la expresión vectorial de esta proyección queda:
Aw = |Aw|*w/|w| = 1*<0,0,1>/1 = <0,0,1> = k,
por lo que esta proposición es Verdadera.
d)
|Av| = A•v/|v| = <1,1,1>•<-1,1,0>/√(2) = 0/√(2) = 0;
luego, la expresión vectorial de esta proyección queda:
Av = |Av|*v/|v| = 0*<-1,1,0>/√(2) = <0,0,0>,
por lo que esta proposición es Verdadera.
Espero haberte ayudado.