Hola, tengo una duda con la función cosecante y arcoseno. Son lo mismo? Porque la cosecante es 1/senox y arcoseno también.

Tienes las expresiones de los vectores:
c = <-1,3,-1>,
w = <-1,0,2>.
a)
Comienza por plantear un vector perpendicular a c y a w a la vez, por medio del producto vectorial que muestras en tu imagen:
p = c x w = <-1,3,-1> x <-1,0,2> = <6,3,3>, cuyo módulo es: |p| = √(54) = 3√(6).
Luego, planteas la expresión de un vector unitario paralelo al vector p, y queda:
up = p/|p| = <6,3,3> / 3√(6) = <2,1,1> / √(6).
Luego, como tienes el módulo del vector v, que es paralelo al vector unitario, puedes plantear:
v = |v|*p = √(6)*<2,1,1> / √(6) = <2,1,1>.
b)
Planteas la condición de perpendicularidad entre el vector u = <x,y,z> (1) y el vector w, y queda:
w•u = 0, sustituyes las expresiones de los vectores, y queda:
<-1,0,2>•<x,y,z> = 0, desarrollas el producto escalar, cancelas el término nulo, y queda:
-x + 2z = 0, restas 2z en ambos miembros, y queda:
-x = -2z, multiplicas por -1 en ambos miembros, y queda:
x = 2z (2).
Luego, planteas la expresión del producto escalar entre el vector u y el vector director del eje OY: j = <0,1,0> (cuyo módulo es: |j| = 1) en función de las componentes de los vectores, y queda:
u•j = <x,y,z>•<0,1,0>, desarrollas el producto escalar, cancelas los términos nulos, y queda:
u•j = y (3).
Luego, planteas la expresión del producto escalar entre el vector u (observa que tienes el valor de su módulo: |u| = 2*√(15) en tu enunciado) y el vector j en función de los módulos de los vectores y de la medida del ángulo determinado por ellos que tienes en tu enunciado (β = 60°), y queda:
|u|*|j|*cosβ = u•j,
sustituyes las expresiones de los módulos de los vectores, del ángulo determinado por ellos y del producto escalar, y queda:
2*√(15)*1*cos(60°) = y, reemplazas el valor del último factor en el primer miembro, y queda:
2*√(15)*(1/2) = y, resuelves el producto entre factores racionales, y queda:
√(15) = y (4).
Luego, planteas la expresión del módulo del vector u, y queda:
√(x2+y2+z2) = 2*√(15),
elevas al cuadrado en ambos miembros, y queda:
x2 + y2 + z2 = 60,
sustituyes la expresión remarcada y señalada (2), sustituyes el valor remarcado y señalado (4), y queda:
(2*z)2 + ( √(15) )2 + z2 = 60,
resuelves los dos primeros términos, y queda:
4*z2 + 15 + z2 = 60,
restas 15 en ambos miembros, reduces términos semejantes, y queda:
5*z2 = 45,
divides por 5 en ambos miembros, y queda:
z2 = 9,
extraes raíz cuadrada en ambos miembros, y tienes dos opciones:
1°)
z = -3, reemplazas en la ecuación señalada (2), resuelves, y queda: x = -6,
y junto con el valor remarcado y señalado (4), tienes que la expresión del vector u queda:
u1 = < -6 , √(15) , -3 >;
2°)
z =-3, reemplazas en la ecuación señalada (2), resuelves, y queda: x = 6,
y junto con el valor remarcado y señalado (4), tienes que la expresión del vector u queda:
u2 = < 6 , √(15) , 3 >.
Espero haberte ayudado.
Hola. Tengo una consulta sobre inecuaciones que contienen un sen(x) o cos(x) (o variable que sea). Tengo entendido que puede cambiar el signo de desigualdad (mayor/igual a menor/igual, por ejemplo) al "pasar" al otro lado de la igualdad un seno o coseno dividiendo o multiplicando. Por ejemplo:
Si en coordenadas polares tengo r*cos(t) <= 2-r*sen(t) y paso cos(t) dividiendo a derecha ¿Qué sucede con el signo de desigualdad? ¿Qué sucede con el signo del lado derecho? ¿Qué reglas debo tener en cuenta exactamente?
Saludos!

Tienes la inecuación en coordenadas polares:
r*cost ≤ 2 - r*sent;
luego, si quieres dividir por cost en ambos miembros, observa que t no puede ser igual a -π/2 ni a π/2, y observa además que tienes dos opciones:
a)
Si t pertenece al primero o al cuarto cuadrante (-π/2 < t < π/2), entonces tienes que cost es positivo, por lo que no cambia la desigualdad, y la inecuación queda:
r ≤ (2 - r*sent)/cost.
b)
Si t pertenece al segundo o al tercer cuadrante (π/2 < t < 3π/2), entonces tienes que cost es negativo, por lo que sí cambia la desigualdad, y la inecuación queda:
r ≥ (2 - r*sent)/cost.
Espero haberte ayudado.

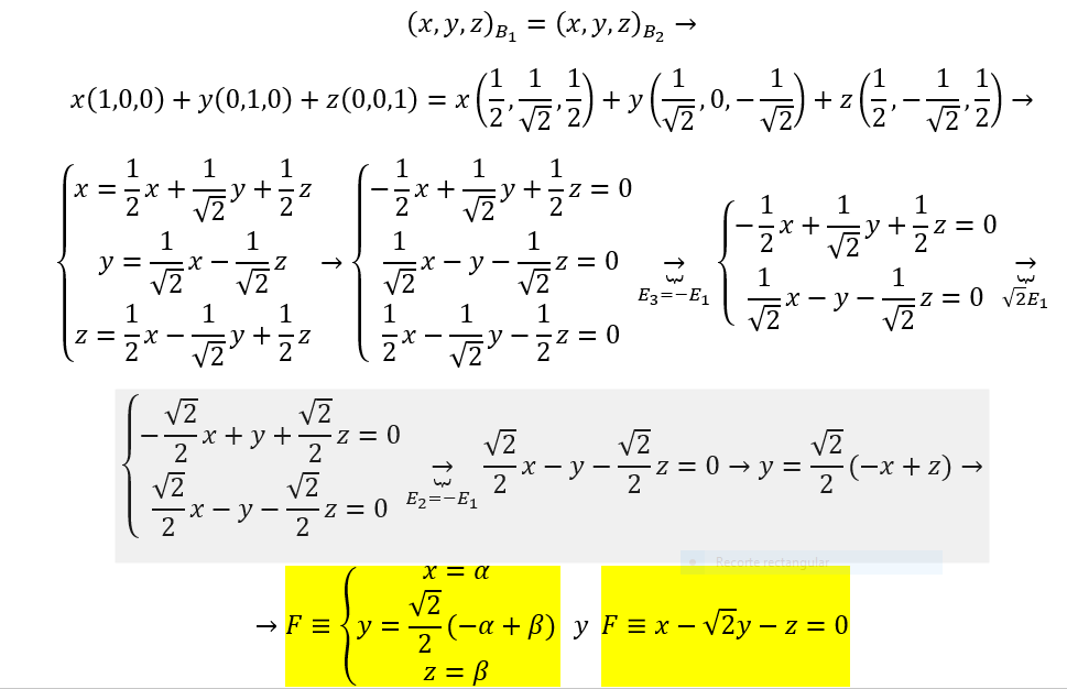
Establece un sistema de coordenadas OXYZ con origen de coordenadas en el punto X, con eje OX con sentido positivo hacia el punto D, eje OY con sentido positivo hacia la derecha según tu imagen, y eje OZ con sentido positivo hacia el punto A.
Luego, si llamas x a las longitudes de las aristas menores (AC y AB), entonces tienes que la longitud de la arista mayor (CD) es 3x;
por lo que tienes que las expresiones de los tres puntos que determinan los dos vectores de interés son:
D(3x,0,0), A(0,0,x) y B(0,x,x).
Luego, planteas las expresiones de los vectores de interés, y queda:
u = DA = < 0-3x , 0-0 , x-0 > = < -3x , 0 , x >, cuyo módulo queda expresado: |u| = √(10x2) = √(10)x;
v = DB = < 0-3x , x-0 , x-0 > = < -3x , x , x >, cuyo módulo queda expresado: |v| = √(11x2) = √(11)x.
Luego, planteas la expresión del producto escalar entre los dos vectores en función de sus componentes, y queda:
u•v = < -3x , 0 , x >•< -3x , x , x > = -3x*(-3x) + 0*x + x*x = 10x2 (1).
Luego, planteas la expresión del producto escalar entre los dos vectores en función de sus módulos y del ángulo determinado por ellos, y queda:
u•v = |u|*|v|*cosα = √(10)x*√(11)x*cosα = √(110)x2*cosα (2).
Luego, igualas las expresiones señaladas (2) (1), y queda la ecuación:
√(110)x2*cosα = 10x2, divides por x2 en ambos miembros (observa que x toma valores estrictamente positivos), y queda:
√(110)*cosα = 10, divides por √(110) en ambos miembros, y queda:
cosα = 10/√(110), compones en ambos miembros con la función inversa del coseno, y queda:
α ≅ 17,548°.
Luego, planteas la expresión del producto vectorial entre los vectores u y v, y queda:
u x v = < -3x , 0 , x > x < -3x , x , x > = < -x2 , 0 , -3x2 >, cuyo módulo queda expresado: |u x v| = √(10)x2;
luego, aplicas la propiedad del producto vectorial que lo relaciona con el área del triángulo determinado por dos vectores, y queda:
AADB = (1/2)*|u x v| = (1/2)*√(10)x2 = ( √(10)/2 )*x2.
Espero haberte ayudado.
alguien me podría ayudar con unos ejercicios de limites de funciones reales, el ejercicio exacto es este:
lim (cos^2(x) - cotg^2(x)) / ( cos (2x)·(1 - sen(x))
Χ→π/2
Se que da una indeterminación de 0 entre 0, pero no se como continuar con el ejercicio para solucionarlo, si alguien me ayudara como se hace, es de agradecer.

Vamos con el numerador del argumento del límite (observa que aplicamos identidades trigonométricas básicas):
N = cos2x - cotg2x = cos2x - cos2x/sen2x = (cos2x*sen2x - cos2x)/sen2x = cos2x*(sen2x - 1)/sen2x =
= cos2x*(-cos2x)/sen2x = -cox4x/sen2x.
Vamos con el denominador del argumento del límite (observa que aplicamos identidades trigonométricas básicas):
D = cos(2x)*(1-senx) = cos(2x)*(1-senx)*(1+senx)/(1+senx) = cos(2x)*(1-sen2x)/(1+senx) = cos(2x)*cos2x/(1+senx).
Luego, planteas la división entre el numerador y el denominador, y el argumento del límite queda:
( cos2x - cotg2x ) / ( cos(2x)*(1-senx) ) =
sustituyes las expresiones remarcadas:
= ( -cox4x/sen2x ) / ( cos(2x)*cos2x/(1+senx) ) =
resuelves la división entre expresiones fraccionarias:
= -cox4x*(1+senx) / sen2x*cos(2x)*cos2x =
simplificas, y queda:
= -cox2x*(1+senx) / sen2x*cos(2x) (1).
Luego, observa que ya puedes calcular el límite:
Lím(x→π/2) ( cos2x - cotg2x ) / ( cos(2x)*(1-senx) ) =
sustituyes la expresión del argumento señalada (1), y queda:
= Lím(x→π/2) -cox2x*(1+senx) / sen2x*cos(2x) = 0,
ya que el numerador tiende a cero y que el denominador tiende a -1).
Espero haberte ayudado.
Hola, en las equaciones es biquadradas no entiendo quando se ha de poner el signo de +/- en el resultado

Vamos con un ejemplo, en el que aplicamos el método de sustitución, que puede serte útil:
Si tienes la ecuación polinómica bicuadrática:
x4 - 13x2 + 36 = 0,
puedes proponer la sustitución (cambio de incógnita):
x2 = w (1),
de donde tienes:
x4 = (x2)2 = w2 (2);
luego, sustituyes las expresiones señaladas (2) (1) en la ecuación polinómica bicuadrática, y queda:
w2 - 13w + 36 = 0,
que es una ecuación polinómica cuadrática cuyas soluciones son: w = 9 y w = 4,
por lo que tienes dos opciones:
a)
w = 9, reemplazas este valor en la ecuación señalada (1), y queda:
x2 = 9, aquí extraes raíz cuadrada en ambos miembros, y queda:
x1 = -3 y x2 = 3;
b)
w = 4, reemplazas este valor en la ecuación señalada (1), y queda:
x2 = 4, aquí extraes raíz cuadrada en ambos miembros, y queda:
x3 = -2 y x4 = 2.
Espero haberte ayudado.
En una distribución normal N(5, 2), calcule:
a) P(X ≤ 6)
b) P(X ≥ 4,5)
c) P(X ≤ 7,2)
d) P(3 ≤ X ≤ 6)
e) P(4 ≤ X ≤ 6)
por ejemplo en el a) el resultado de lo que esta entre parentesis da 0.5 ¿porqué? gracias