Dada la función x+1/4-x2 calcule los intervalos de crecimiento y decrecimiento, ya he derivado la función y me da x2 +2x+4 / (4-x2)2 , la he igualado a 0, pero al resolver la ecuación de segundo grado del numerador, a mi me sale que no tiene solución, entonces no sé si he hecho algo mal o es que el ejercicio es así.

Tienes la expresión de la función, cuyo dominio es: D = (-∞,-2)∪(-2,2)∪(2,+∞):
f(x) = (x+1)/(4-x2);
luego, has planteado correctamente la expresión de la función derivada (observa que está definida en todo el dominio de la función), y te ha quedado:
f ' (x) = (x2+2x+4) / (4-x2)2 (1).
Luego, planteas la condición de punto estacionario (posible máximo o posible mínimo), y queda:
f ' (x) = 0, sustituyes la expresión de la función derivada en el primer miembro, y queda:
(x2+2x+4) / (4-x2)2 = 0, multiplicas en ambos miembros por (4-x2)2, y queda:
x2 + 2x + 4 = 0,
que es la ecuación polinómica cuadrática que te ha quedado, y tal como tú indicas, no tiene soluciones reales, y más aún, observa que la gráfica de la función cuya expresión es: y = x2 + 2x + 4 es una parábola con vértice V(-1,3), y observa que esta gráfica presenta un mínimo en este punto, por lo que tienes que todos los puntos de esta parábola toman valores positivos;
por lo tanto, tienes que en la expresión de la función derivada señalada (1), el numerador toma valores positivos, y que el denominador también toma valores positivos (observa que su expresión es un cuadrado perfecto), en todo el dominio de la función;
luego, puedes concluir que la función cuya expresión tienes en tu enunciado es creciente en los intervalos: (-∞,-2), (-2,2) y (2,+∞) que conforman el dominio de la función.
Y si completas el estudio de la gráfica tomando los límites para x tendiendo a -infinito, a +infinito, a -2 por la izquierda y por la derecha, y a 2 por la izquierda y por la derecha, verás que la gráfica de la función cuya expresión tienes en tu enunciado presenta:
Asíntota Horizontal, cuya ecuación es: y = 0, tanto por la izquierda como por la derecha;
Asíntota Vertical, cuya ecuación es: x = -2;
Asíntota Vertical, cuya ecuación es: x = 2.
Espero haberte ayudado.
Buenas, el apartado c del siguiente ejercicio como lo resolverian. Porque no se cómo proceder a demostrar la igualdad![]()

Observa que tienes en tu enunciado que el determinante de la matriz B es distinto de cero (y positivo).
Luego, recuerda dos de las propiedades de los determinantes:
a) el determinante de una matriz es igual al determinante de su matriz transpuesta: |B| = |Bt|,
b) el determinante de una matriz es igual al recíproco del determinante de su matriz inversa: |B-1| = 1/|B|.
Luego, tienes la igualdad entre dos matrices de tu enunciado:
B-1 = Bt;
luego, por igualdad entre matrices tienes que sus determinantes son iguales, por lo que puedes plantear:
|B-1| = |Bt|,
aplicas la propiedad señalada (a) en el segundo miembro, aplicas la propiedad señalada (b) en el primero, y queda:
1/|B| = |B|,
multiplicas por |B| en ambos miembros, y queda:
1 = |B|2,
extraes raíz cuadrada en ambos miembros (recuerda que tienes en tu enunciado que el determinante de la matriz B es mayor que cero), y queda:
1 = |B|.
Espero haberte ayudado.

Observa que los vectores a, b y c son paralelos con igual sentido que los ejes coordenados OX, OZ y OY, respectivamente, por lo que puedes plantear que sus expresiones son:
a = < 3 , 0 , 0 >, cuyo módulo es: |a| = 3,
b = < 0 , 0 , 4 >, cuyo módulo es: |b| = 4,
c =< 0 , p , 0 >, con p > 0 (a determinar), cuyo módulo es |c| = p.
Luego, observa que el vector r es igual a la suma de los tres vectores anteriores, por lo que puedes plantear:
r = a + b + c, resuelves la suma vectorial que tienes en el segundo miembro, y queda:
r = < 3 , p , 4 > (1),
cuyo módulo queda expresado:
|r| = √(p2+25) (2).
Luego, planteas el producto escalar de los vectores c y r en función de sus componentes, y queda:
c • r = < 0 , p , 0 > • < 3 , p , 4 >, desarrollas el producto escalar en el segundo miembro, y queda:
c • r = 0*3 + p2 + 0*4, resuelves el segundo miembro (observa que tienes términos nulos), y queda:
c • r = p2 (3).
Luego, planteas el producto escalar de los vectores c y r en función de sus módulos y del ángulo determinado por ellos (cuya medida tienes en tu enunciado: θ = 60°), y queda:
c • r = |c|*|r|*cosθ,
sustituyes las expresiones señaladas (3) y (2), las expresión del módulo del vector c, el valor del ángulo, y queda:
p2 = p*√(p2+25)*cos(60°),
reemplazas el valor del último factor, y queda:
p2 = p*√(p2+25)*(1/2),
multiplicas por 2 en ambos miembros, y queda:
2*p2 = p*√(p2+25),
elevas al cuadrado en ambos miembros, y queda:
( 2*p2 )2 = ( p*√(p2+25) )2,
distribuyes las potencias en ambos miembros, resuelves factores, y queda:
4*p4 = p2*(p2+25),
divides por p2 en ambos miembros (observa que p es distinto de cero), y queda:
4*p2 = p2 + 25,
restas p2 en ambos miembros, y queda:
3*p2 = 25,
divides por 3 en ambos miembros, y queda:
p2 = 25/3,
multiplicas por 3 al numerador y al denominador del segundo miembro, y queda:
p2 = 25*3/9,
extraes raíz cuadrada en ambos miembros (observa que elegimos la raíz positiva), y queda:
p = 5*√(3)/3.
Luego, reemplazas el valor remarcado en la expresión del vector r señalada (1), y queda:
r = < 3 , 5*√(3)/3 , 4 >.
Espero haberte ayudado.
Hola, me podrian ayudar con el ejercicio 3 y 4 por favor, hay que hacer la parabola y no entiendo como hacer la canonica![]()

Ahí vamos.
3)
Tienes la ecuación cartesiana explícita de la parábola:
y = 2*x2 - 4*x + 1,
extraes factor común numérico entre los dos términos literales, y queda:
y = 2*(x2 - 2*x) + 1,
sumas y restas 1 en el agrupamiento, y queda:
y = 2*(x2 - 2*x + 1 - 1) + 1,
factorizas el trinomio cuadrado perfecto, y queda:
y = 2*( (x-1)2 -1 ) + 1,
distribuyes el factor común en el primer término, y queda:
y = 2*(x-1)2 - 2 + 1,
reduces términos numéricos, y queda:
y = 2*(x-1)2 - 1,
que es la ecuación cartesiana canónica de una parábola cuyo vértice es: V(1,-1).
4)
¡Observa que ya tienes la ecuación cartesiana canónica de una parábola, cuyo vértice es: V(1,-3)!
Espero haberte ayudado.
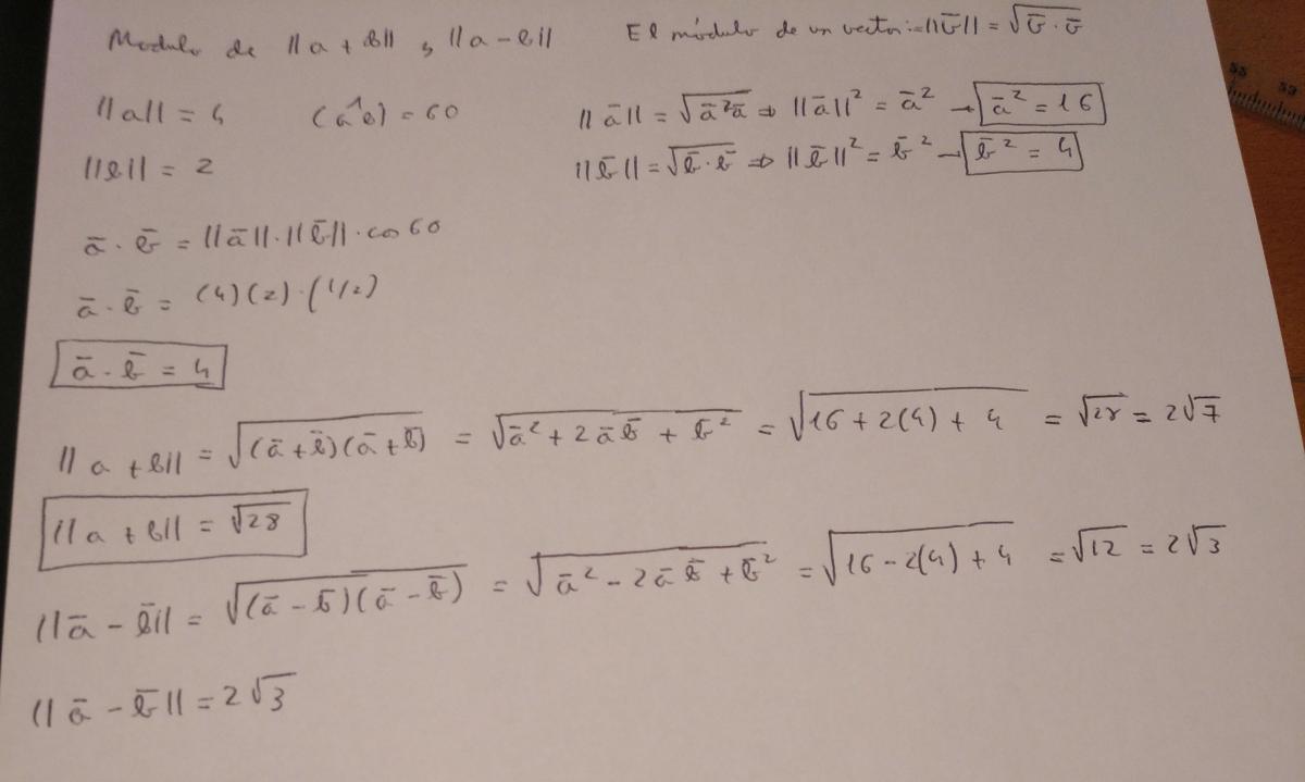
Hola buenas llevo un rato dandole vueltas a este problema pero nada, si tengo dos vectores uno a y otro b, y siendo el modulo de a=4 y el modulo de b=2 y el angulo que formas 60°, cuanto vale el modulo de a+b y el modulo de a-b. Lo unico que se me ha ocurrido ha sido calcular el producto escalar despejando la formula pero no se como continuar