Buenas tardes, tengo una duda sobre las derivadas implícitas. En esta de abajo por ejemplo, ¿cuando se hace (2y·y')/14 y por que?, ¿solo se hace en las implicitas o en todas las derivadas que tenga una división y una potencia?, ¿en la x también se hace o nunca se puede hacer? Tengo examen mañana y no entiendo esto. Gracias.
(x-1)² - (y+3)² =1
------ -------
8 14
La derivada de la fracción de Y es " (2(y+3)*y')/14 " , el 14 es un numero constante que esta dividiendo a la variable, por lo que no afecta en la derivada ni se iguala a 0 por la misma razón de que está dividiendo/multiplicando(si consideras 1/14) a la variable Y, la verdad es que no se si esa era la duda o cual, por que no entiendo muy bien lo que quieres decir, y la derivada de la fraccion de X es (2(x-1))/8.
Y se hace lo de multiplicar por y' por la regla de la cadena, por ejemplo x^n= nx^(n-1) * x' , de normal tu no pones x' porque la derivada de una variable(x) es 1 y no se pone, pero en realidad siempre haces la regla de la cadena, en y' no se sustituye por 1 ni por ningún otro número porque en las funciones derivas Y respecto a X(dy/dx), y no sabes el valor de Y (no estoy muy seguro de esto último, he buscado y no he encontrado nada pero yo supongo que es por eso), por tanto simplemente pones y'.
Buena dia profesor, le escribo desde Argentina para saber si puede ayudarme con algo de estaditica.

Es un ejercicio de DISTRIBUCION NORMAL. Te sugiero veas al menos el primer vídeo. Distribución normal
A partir de ahí, se trata de que DESPUES DE IR A CLASE (ver los vídeos
relacionados con vuestras dudas) enviéis dudas concretas, muy concretas. Y que
nos enviéis también todo aquello que hayais conseguido hacer por vosotros
mismos. Paso a paso, esté bien o mal. No solo el enunciado. De esa manera
podremos saber vuestro nivel, en que podemos ayudaros, cuales son vuestros
fallos.... Y el trabajo duro será el vuestro. Nos cuentas ¿ok? #nosvemosenclase
;-)

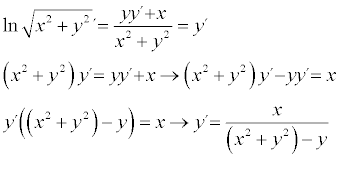
Si se trata de una función de dos variables, cuya expresión es:
f(x,y) = ln( √(x2+y2) ),
aplicas la propiedad del logaritmo de una raíz, y queda:
f(x,y) = (1/2)*ln(x2+y2),
y observa que el dominio de la función es: D = R2 - {(0,0)}.
Luego, planteas las expresiones de las funciones derivadas parciales primeras (observa que debes aplicar la Regla de la Cadena), y queda:
fx(x,y) = (1/2) * ( 1/(x2+y2) ) * 2x = x/(x2+y2),
fy(x,y) = (1/2) * ( 1/(x2+y2) ) * 2y = y/(x2+y2),
y observa que las dos funciones derivadas parciales están definidas en todo el dominio de la función.
Espero haberte ayudado.
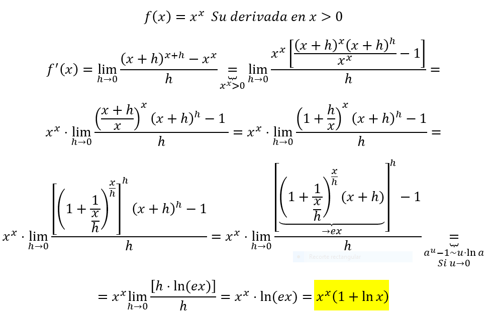
Hola! Quería preguntar como resuelvo esto?? estoy realizando un examen y me sale esta pregunta no se que responder ni que hacer, hay alguna manera de resolverlo y ojala no tarde porque si no, no podre terminar este examen que estoy realizando y tendré que empezar de nuevo pero eso es lo menos importante, hay les dejo para que miren y lo resuelvan, gracias!![]()
Hola! Quería saber que he hecho mal en este ejercicio de composicion de funciones. Lo que hice y lo que me aparece en las respuestas de la guia de ejercicios no parece ser lo mismo. Aclaro que no sabia como hacer composiciones con una funcion con valor absoluto, en mi texto no hay ningun ejemplo asi que tuve que googlear como hacerlo y encontre un video de composicion con una funcion definida a tramos y lo hice asi ya que tengo entendido que la funcion valor absoluto no es mas que una funcion definida a tramos. En general esta bien hacerlo de esa manera o deberia proceder de otra forma? Gracias!