Se que puede parecer una tontería pero dentro de las derivadas solo me lío con las raíces y quiero zanjarlo ya , si tengo una raíz sea el exponente que sea y dentro de ella una x elevado al numero que sea , puedo hacer esa derivada siguiendo la formula de derivar raices cuando dentro de ellas tengo una función ?? O tengo que hacer el proceso de quitar la raiz y ponerla en forma de exponente ??
Se puede usar l´hopital en infinito - infinito ??
No es lo más práctico, pero SI es posible. Lo que tenes que hacer es transformar la función para que quede de la forma 0/0 o ∞/∞ para poder aplicar L'Hopital. Por ejemplo una función de la forma 1/x - cosecx puedo plantearla de la forma 1/x - 1/senx lo cual realizando la resta de ambos componentes me dará una función de la forma (sen x - x)/(xsenx) que dara una indeterminación de la forma 0/0 a partir de la cual puedo comenzar a aplicar L'Hopital. Puede ser más engorroso, pero no imposible
Hola soy nueva en el grupo y estoy un poco perdida, sabríais decirme a que equivale la factorisation en espana, necesito empezar desde el principio y no lo encuentro.
Gracias
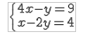
Hola podríais ayudarme con este sistema de ecuaciones con el método de sustitución, lo intento hacer pero me sale mal aún viendo los vídeos, gracias
Hola Alfonso, espero que te sirva.
4x-y=9
-y=9-4x
y=-(9-4x)
y=4x-9
Reemplazas "y" en la segunda ecuación y te queda:
x-2(4x-9)=4 aplicas distributiva
x-8x+18=4 sumas las "x"
-7x=4-18 despejas "x"
x=-14/-7
x=2 luego reemplazas "x" en cualquiera de las 2 ecuaciones.
4(2)-y=9
-y=9-8
y=-1
Por ultimo para corroborar reemplazas "x" e "y" en cualquiera de las 2 ecuaciones:
(2,-1)
x-2y=4
2-2(-1)=4
2+2=4
4=4

Sumas 2y en ambos miembros de la segunda ecuación, y queda: x = 2y+4 (1);
luego, sustituyes la expresión señalada (1) en l primera ecuación, y queda:
4*(2y+4) - y = 9, distribuyes el primer término, y queda:
8y + 16 - y = 9, restas 16 en ambos miembros, reduces términos semejantes, y queda:
7y = -7, divides por 7 en ambos miembros, y queda:
y = -1;
luego, reemplazas el valor remarcado en la ecuación señalada (1), y queda:
x = 2.
Espero haberte ayudado.
hola unicoos, me podrían ayudar con este problema:
Dos capitales de $12000 y $6000 son colocados simultáneamente al 3% y al 4% mensual respectivamente. Si la capitalización es en forma mensual, determinar:
a) ¿En qué momento los montos se igualarán?
b) Encontrar en qué momento la diferencia entre ambos montos fue máxima.
c) Analizar ambas situaciones si la capitalización se produjera en forma continua.
R: a) t = 5,97 años b) t = 3,539 años c) t = 5,776 años y t = 3,379 años
Gracias