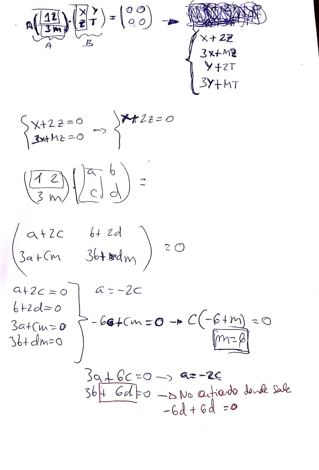
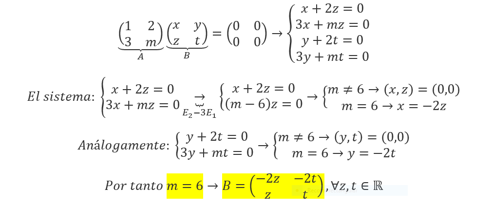
Hola, llevo unas cuantas horas dándole a la cabeza, pero no consigo resolver este ejercicio. ¿Alguien me puede echar una mano?
Hola Unicoos!
Por favor, me gustaría que alguien me explicara la propiedad CAMBIO DE BASE de los logaritmos.
Entiendo todas las demás, pero esta no. Muchas gracias de antemano.

El funcionamiento es muy simple. Si tú conoces los logaritmos en cierta base, por ejemplo base 10, puedes calcular cualquier logaritmo. Por ejemplo, si quieres hallar log(base 7) de 36, te queda:
(log 36)/(log 7)
La demostración formal de la fórmula es lo que tienes en la foto que has subido.