Foro de preguntas y respuestas de Matemáticas

logo beUnicoos
Los foros de unicoos se han unificado en nuestra nueva plataforma beUnicoos. Para dejar nuevas preguntas deberás hacerlo allí, donde además podrás encontrar nuevas asignaturas y herramientas para ayudarte más con tus estudios.

  • icon

    Ignasi
    el 27/10/18

    Hola de nuevo, una de geometría:

    Enunciado: En medio de un prado hay una cabaña rectangular de 12 metros de largo por 6 de ancho. En un vértice de la cabaña hay una cabra atada con una cuerda de 8 metros de largo.

    Preguntas: 

        a) ¿Qué superficie tiene la zona de hierba que puede cubrir la cabra?

        b) ¿Crees que cambia la superficie de hierba que puede cubrir la cabra si se ata en un lado de la cabaña y no en un vértice?

    Gracias!!!

    replythumb_up0 voto/sflag
    icon

    César
    el 27/10/18

    Es sencillo calcular el área.

    es mayor en el caso del vértice.

    HAces tu los cálculos??


    thumb_up0 voto/sflag
  • icon

    Delfina Rial
    el 27/10/18

    Hola! Tengo una duda sobre espacios vectoriales. Si me dice: dados 3 vectores de R^2, pueden formar una base de R^2?

    La respuesta correcta sería que podrian formarla siempre y cuando sean linealmente independientes y formen un conjunto generador?

    Además, solo es necesario que 2 de esos 3 vectores sean linealmente independientes y formen el conjunto generador, o los 3 si o si?

    replythumb_up0 voto/sflag
    icon

    César
    el 27/10/18

    Siendo en R^2 bastaría con dos vectores L.I. para formar una base


    thumb_up0 voto/sflag
  • icon

    Rocio Redero Conde
    el 27/10/18

    Por favor me podéis ayudar con el límite ejercicio e) cuando x →-infinito.

    Os paso la solución y mi pregunta es sí se puede hacer de otra manera: El resultado es -1(cambia x→-infinito por x→+infinito.  Gracias.


    replythumb_up0 voto/sflag
    icon

    César
    el 27/10/18

    El límite es inmediato pues e^(-x)->0 cundo x crece 

    thumb_up0 voto/sflag
  • icon

    comando bachuerino
    el 27/10/18

    hola buenas estoy atascado con este ejercicio, me sale x= - 48/21 y=0 y z=16/21 pero despues lo sustituyo en el sistema y no me da

    replythumb_up0 voto/sflag
    icon

    Antonius Benedictus
    el 7/11/18

    Utiliza esta página para corregir matrices, determinantes, sistemas...

    https://matrixcalc.org/es/


    thumb_up0 voto/sflag
  • Usuario eliminado
    el 27/10/18

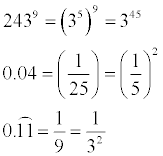
    Buenas tardes unicoos, les escribo para ver si me pueden ayudar con el siguiente ejercicio:    

    1.-Expresa los siguiente números mediante una potencia cuya base sea un número primo:

    2439    

    0,04 

    0,1 (el 1 periodo).

    graciass




    replythumb_up0 voto/sflag
    icon

    César
    el 27/10/18


    thumb_up1 voto/sflag

    Usuario eliminado
    el 27/10/18

    Una vez más, muchas gracias César. Haces una gran labor en los foros de Unicoos. Gracias de corazón.

    thumb_up0 voto/sflag
  • icon

    Érica
    el 27/10/18

    Y en este ejercicio me pide que discuta y resuelva por Cramer, lo he hecho pero no se donde he fallado, porque x debería dar 85/36. Gracias


    replythumb_up0 voto/sflag
    icon

    César
    el 27/10/18

    https://matrixcalc.org/es/slu.html#solve-using-Cramer%27s-rule%28%7B%7B1,2,3,1,10%7D,%7B1,3,0,2,7%7D,%7B2,0,-1,3,1%7D,%7B3,2,-1,1,9%7D%7D%29


    thumb_up0 voto/sflag
  • icon

    Érica
    el 27/10/18

    Hola necesito ayuda para resolver el rango de esta matriz


    replythumb_up0 voto/sflag
    icon

    Antonius Benedictus
    el 27/10/18


    thumb_up0 voto/sflag
  • Usuario eliminado
    el 27/10/18

    Buenas unicoos necesito una ayuda en esta integral definida, no me salé por sustiitución o quizá lo hice mal

    replythumb_up0 voto/sflag
    icon

    Antonius Benedictus
    el 27/10/18


    thumb_up1 voto/sflag
  • icon

    comando bachuerino
    el 26/10/18

    hola buenas no entiendo el apartado a, a que se refiere, a que averiguemos los valores de a para clasificarlos en SI SCD ó SCI o que busquemos lod parametros para encontrar las soluciones de x, y, z? En caso de que sea el segundo, me podrian explicar como es? No hace falta que sea el ejercicio de la foto

    replythumb_up0 voto/sflag
    icon

    Antonius Benedictus
    el 27/10/18


    thumb_up0 voto/sflag
  • icon

    Nick Specter
    el 26/10/18


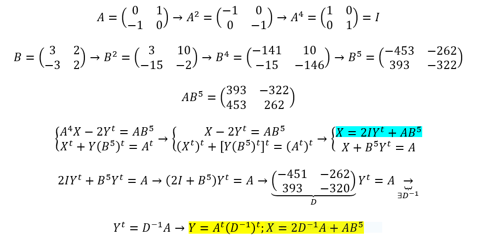
    me podrían colaborar con la resolución de estos dos ejercicios muy amables :) 

    replythumb_up0 voto/sflag
    icon

    Antonius Benedictus
    el 27/10/18


    thumb_up0 voto/sflag
    icon

    Antonius Benedictus
    el 27/10/18

    Termine usted los cálculos:


    thumb_up0 voto/sflag