Foro de preguntas y respuestas de Matemáticas

logo beUnicoos
Los foros de unicoos se han unificado en nuestra nueva plataforma beUnicoos. Para dejar nuevas preguntas deberás hacerlo allí, donde además podrás encontrar nuevas asignaturas y herramientas para ayudarte más con tus estudios.

  • icon

    Pablo
    el 28/10/18

    Cómo se plantearía este problema?

    replythumb_up0 voto/sflag
    icon

    Antonio
    el 28/10/18

    Sea x, y y z la rentabilidad respectivamente a los modelos A, B, C

    El primero obtiene una rentabilidad de 5000x+25000y+25000z pero también es el 15% de (5000+25000+25000)

    El segundo obtiene una rentabilidad de 12500x+25000y+12500z pero también es el 12% de (12500+25000+12500)

    El primero obtiene una rentabilidad de 10000x+10000y+20000z pero también es el 10% de (10000+10000+20000)

    construyendo un sistema:

    5000x+25000y+25000z=15000

    12500x+25000y+12500z=6000

    10000x+10000y+20000z=4000

    resolviendo el sistema

    x=23/100=23%

    y=11/100=11%

    z=3/100=3%

    la rentabilidad es 23%, 11% y 3% respectivamente


    thumb_up0 voto/sflag
  • icon

    carmela
    el 28/10/18

    Hola unicos. Me gustaría saber si la primera parte del ejercicio está bien hecha y cómo puedo hacer la segunda porque no se me ocurre cómo plantearla. Gracias

    replythumb_up0 voto/sflag
    icon

    Antonio
    el 28/10/18

    La tienes bien hecha aunque hay una errata, te faltó poner una x al lado del 5 en la segunda fila

    thumb_up0 voto/sflag
    icon

    Antonio
    el 28/10/18

    Es exactamente lo mismo pero al revés

    en vez de sustituir la x de f por g

    sustituye la x de g por f

    thumb_up0 voto/sflag
  • icon

    Diego
    el 28/10/18

    Hola, no sé cómo empezar a hacer este ejercicio, ¿alguien me podría ayudar a plantear el principio? El ejercicio es:

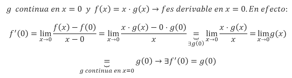
    Si g(x) es continua en x=0, demuestra que f(x)=xg(x)  es derivable en x=0 y halla f ‘ (0).

    Muchas gracias.


    replythumb_up0 voto/sflag
    icon

    Antonio
    el 28/10/18

    f(x)=xg(x)

    f'(x)=g(x)+xg'(x) 

    f'(0)=g(0)+0·g'(0)=g(0)


    thumb_up1 voto/sflag
    icon

    Antonius Benedictus
    el 28/10/18

    La hipótesis es que g es continua, no que es derivable.

    thumb_up1 voto/sflag
    icon

    Antonius Benedictus
    el 28/10/18


    thumb_up1 voto/sflag
  • icon

    angel martinez
    el 28/10/18

    Muchas Gracias Raul? Mi suscripción es pro ,no entiendo que no haya mas vídeos aquí que en you tube.¿Saben como me puedo poner en contacto con algún responsable?

    replythumb_up1 voto/sflag
    icon

    Raul
    el 28/10/18

    si eres pro en el chat de arriba puedes preguntar a los professores

    thumb_up0 voto/sflag
  • icon

    Javier Torrecilla
    el 28/10/18

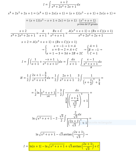
     ¿Podríais ayudarme con esta integral, por favor?

    Gracias de antemano

    replythumb_up0 voto/sflag
    icon

    Antonius Benedictus
    el 28/10/18


    thumb_up1 voto/sflag
  • icon

    Raul
    el 28/10/18

    se necesita ser pro para el material adicional?

    replythumb_up1 voto/sflag
    icon

    David
    el 2/11/18

    Sí. Un abrazo

    thumb_up1 voto/sflag
  • icon

    Lorena CR
    el 28/10/18

    Buenas, ¿podrían ayudarme con este ejercicio? Gracias.

    replythumb_up0 voto/sflag
    icon

    Antonio
    el 28/10/18

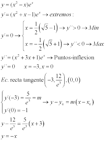
    y=(x2-x)ex

    y'=(2x-1)ex+(x2-x)ex=(x2+x-1)ex

    y''=(2x+1)ex+(x2+x-1)ex=(x2+3x)ex

    y''=0 => (x2+3x)ex=> x2+3x=0 => x1=0 ^x2=-3

    tenemos por lo tanto dos puntos de inflexión  x1=0 ^x2=-3

    (-inf,-3) es cóncava pues la segunda derivada es positiva

    (-3,0) es convexa pues la segunda derivada es negativa

    (0,+inf) es cóncava pues la segunda derivada es positiva

    thumb_up1 voto/sflag
    icon

    Antonius Benedictus
    el 28/10/18


    thumb_up1 voto/sflag
    icon

    César
    el 28/10/18


    thumb_up1 voto/sflag
    icon

    Antonio
    el 28/10/18

    y=(x2-x)ex

    y'=(x2+x-1)ex

    recta tangente en x=0

    m=y'(0)=-1

    y=y(0)=0

    n=y-mx=0-(-1)0=0

    por lo tanto y=-x

    recta tangente en x=-3

    m=y'(-3)=5/e3

    y=y(-3)=12/e3

    n=y-mx=12/e3-5/e3·(-3)=12/e3+15/e3=27/e3

    por lo tanto y=5/e3x+27/e3=(5x+27)/e3

    thumb_up1 voto/sflag
  • icon

    angel martinez
    el 28/10/18

    Hola ,buenos ,Días! Soy un padre con una hija en tercero de ESO,acabo de hacer la suscripción  y no encuentro vídeos de áreas y volúmenes ,me sale lo mismo que esta colgado en you tube.¿ Alguien me puede ayudar por favor ?

    replythumb_up1 voto/sflag
    icon

    Raul
    el 28/10/18

    todo lo que hay aqui es lo que suben a youtube

    thumb_up0 voto/sflag
  • icon

    Lucas
    el 28/10/18

    Alguien me puede ayudar con este ejercicio? 

    X3 -5x2  +6x > 0

    replythumb_up0 voto/sflag
    icon

    Antonius Benedictus
    el 28/10/18


    thumb_up0 voto/sflag
    icon

    Antonio
    el 28/10/18

    Resuelve la ecuación X3 -5x +6x = 0

    sus soluciones son 0, 2 y 3 teniendo 4 intervalos (-inf,0),(0,2),(2,3) y(3,+inf)

    elegimos un punto en cada uno de los intervalos y comprobamos si la desigualdad es cierta o falsa en ese intervalo

    la solución es: (0,2) U (3,+inf)


    thumb_up1 voto/sflag
  • icon

    Lautaro
    el 28/10/18

     

    Hola quiero saber como se haria el ejercicio a


    replythumb_up0 voto/sflag
    icon

    Antonius Benedictus
    el 28/10/18


    thumb_up0 voto/sflag