
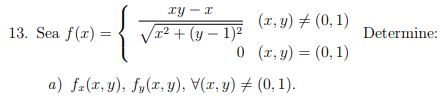
Observa que debes plantear la expresión de las derivadas parciales para puntos distintos de (0,1), por lo que debes derivar la expresión del trozo superior, por lo que puedes hacerlo con reglas de derivación (observa que debes emplear la regla de la división, y la regla de la cadena al momento de derivar la expresión del denominador), y queda:
fx(x,y) = ( (y-1)*√(x2+(y-1)2) - (xy-x)*x/√(x2+(y-1)2) ) / (x2+(y-1)2),
fy(x,y) = ( x*√(x2+(y-1)2) - (xy-x)*(y-1)/√(x2+(y-1)2) ) / (x2+(y-1)2);
y puedes seguir operando a fin de reducir las expresiones.
Observa que el numerador de la expresión es:
N(x,y) = xy-x, cuyas derivadas parciales quedan:
Nx(x,y) = y-1,
Ny(x,y) = x;
y observa que el denominador de la expresión es:
D(x,y) = √(x2+(y-1)2), cuyas derivadas parciales quedan:
Dx(x,y) = x/√(x2+(y-1)2),
Dy(x,y) = (y-1)/√(x2+(y-1)2);
y observa que hemos aplicado la regla de derivación de una división de funciones.
Y observa además que si te hubiesen pedido hallar las expresiones de las funciones derivadas parciales en el punto (0,1), ahí tendrías que haberlas planteado por medio de las definiciones de las derivadas parciales.
Espero haberte ayudado.
he comprado una tortilla , cuando llego a casa me tomo la mitad , a las dos horas 2/3 de lo que queda y a las cinco horas me la termino.
Si a las 5 horas me he tomado 40 gramos . ¿cuánto pesa laba la tortilla?

Observa que tienes un rectángulo, cuya base (largo) tiene longitud y, y cuya altura (ancho) tiene longitud x, por lo que puedes plantear la expresión de su área, y queda:
x*y = A,
reemplazas el valor del área que tienes en tu enunciado, y queda:
x*y = 46,
divides por x en ambos miembros (observa que x no toma el valor cero y que sus valores son positivos), y queda:
y = 46/x.
Luego, observa que tienes tres paredes cuya longitud es x (observa que consideramos que los espacios de las puertas están cubiertos por las paredes), y que tienes dos paredes cuya longitud es x; por lo que tienes que la longitud total queda expresada:
L = 3x + 2y;
luego, como tienes el valor del costo de un metro lineal de pared, puedes plantear para la expresión del costo total:
C = 100*L,
sustituyes la expresión de la longitud total, y queda:
C = 100*(3x + 2y),
distribuyes, y queda:
C = 300x + 200y,
que es la expresión del costo total en función del ancho y del largo del rectángulo;
luego, sustituyes la expresión remarcada, y queda:
C = 300x + 200(46/x),
resuelves el último término, y queda:
C(x) = 300x + 9200/x,
que es la expresión del costo total de las paredes en función de su ancho.
Espero haberte ayudado.
Buenas tardes queria ver si me ayudaba a este ejercicio:
Comprueba que la composición de funciones es una operación asociativa en
el conjunto de aplicaciones de un conjunto A en sí mismo. ¿Tiene
elemenento neutro? ¿Existen elementos simetrizables?
Buenas tardes:
Tengo una pregunta que es un poco tonta la verdad pero me ha entrado la duda y no estoy seguro.
La pregunta es esta: ¿Los cuerpos geométricos tienen perimetro? está claro que las figuras geométricas sí pero ¿los cuerpos?
Muchas gracias.