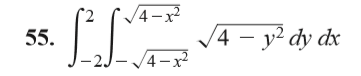
Buenas, una pregunta muy puntual...en el caso de integrales dobles, el resultado de la integración en coordenadas rectangulares otorgaría el mismo resultado que si integráramos en coordenadas polares? O el resultado en coordenadas polares difiere en algo con respecto a el de rectangulares? Por ej en el caso del área de un círculo. Saludos.

siguiendo con la pregunta, el ejercicio en cuestión era este.. realicé la integral en coordenadas rectangulares y el resultado que me dió se condice con el del libro que era 64/3...
al querer realizar la integral en coordenadas polares, yo tomé que
es igual a r cos(θ) que lo justifico partiendo de la ecuación x^2 + y^2 = 4
x^2 + y^2 = 4
x^2 = 4- y^2
x = +- √(4-y^2)
pasando en polares----> x = r cos(θ)
la expresión que formé arriba es considerando integrar un cuarto de círculo, y como el gráfico tiene cierta simetría, consideré multiplicar por 4... pero me otorga 32/3 como resultado, que es la mitad del resultado correcto, no sé si alguna parte de mi análisis es incorrecto o no, yo he observado detenidamente y no encuentro un problema en lo que formulé
Pero el resultado

A que le llamas tu valores críticos? Si te refieres solo a los máximos y mínimos relativos, o locales:
En el apartado d, se te olvidó un signo de - . Ese signo da como resultado e-1 y no e1 . Detalles, el resto esta correcto.
En el apartado c, ni la función, ni la derivada existen en x = 0 (en parte por eso pregunto a que le llamas valores críticos). Y fíjate que esa x que extraes como factor común la puedes simplificar con el denominador, h'(x) = x(2x2 -8 )/x2 = (2x2 - 8)/x. x=0 no es un max/min, es un punto de inexistencia. Los valores ±2 están correctos.
En el apartado b, correcto.
Y el apartado a, si la función no está acotada tiene infinitos max/min. Otra vez se te olvido un signo de - . Las soluciones son -π/6 y -5π/6.
Pero si tienes que dar todas las soluciones, tienes que considerar que son periódicas. Cada vez que le des un ciclo completo desde una solución tendrás otra solución. Es decir, sen(-π/6) = -1/2 Pero sen(-π/6 + 2πn) también. Y las soluciones serian x = (-π/6 + 2πn) y x = (-5π/6 + 2πn) con n ∈ ℤ
Pero si bien tengo entendido es una desigualdad o inecuación, según yo así se resuelve ese sistema de desigualdades, ahora bien, no entiendo de dónde podría ser valida en todos los reales, el dominio de la función por si sola lo sería, creo yo... Y sino pues estaría bien que alguien nos aclarara eso para entender mejor el tema

Debes estudiarle el signo.
Como no tiene raíces reales: 2x2 + 9x + 16 ≠ 0 para todo x. Y además, por ser continua, su signo no varia. O es siempre positiva, o es siempre negativa.
Gráficamente la parábola 2x2 + 9x + 16 nunca corta al eje x. Lo que quiere decir que está siempre por encima del eje x, o siempre por debajo.
Es decir, al no tener raíces reales se cumple que: 2x2 + 9x + 16 > 0 o 2x2 + 9x + 16 < 0 para todo x real.
Luego puedes comprobar numéricamente con un valor de x cualquiera que la situación de esta parábola en particular es: 2x2 + 9x + 16 > 0
Cómo puedo resolver esta ecuación como una ecuación cuadrática: 2x 1/2 - 2x-1/2-5=0. Gracias a quien me ayude.
Hola! Para empezar, nuestra ecuación a tratar la podemos expresar como: 2√x-2/√x-5=0. De esta forma nos queda una ecuación del tipo irracional. En estos casos siempre se pretende sustituir todas las raíces por expresiones que no las contengan, o lo que es lo mismo, eliminar todas la raíces. Este podría ser un caso particular de las ecuaciones irracionales, ya que dentro de las raíces solo aparecen monomios.las. Por esta razón, sin dar más rodeos la manera más conveniente de atacar este problema es mediante un cambio de variable. En este caso, el más sencillo sería:
x=t^2→√x=t
Aplicando este cambio de variable a nuestra ecuación, obtenemos:
2t-2/t-5=0
Qué multiplicando por t, conseguimos tener una ecuación cuadrática:
2t^2-5t-2=0
Qué la resolvemos mediante la formula general. Haciendo correctamente los cálculos, nos salen las 2 posibles soluciones para t, las cuales son
T1=(5+√41)/4 T2=(5-√41)/4
Regresando al cambio de variable, hallamos los dos candidatos (ahora entenderás porque digo candidatos y no soluciones directamente) a resolver nuestra ecuación principal
X1=t1^2=(33+5√41)/8. X2=t2^2=(33-5√41)/8
Ahora bien, no podemos dejar aquí el ejercicio porque no podemos olvidar una de las características principales de las ecuaciones irracionales (y una de las más puñeteras), y es que en este tipo de ecuaciones hay que sustituir el valor de los posibles candidatos para determinar si verdaderamente son soluciones de la ecuación o no. Eso si quieres lo puedes comprobar y obtendrás que la única solución que verdaderamente satisface la ecuación es X1.
Espero que te haya servido y un saludo.

Con esa ecuación: 2x1/2 - 2x-1/2-5 = 0 La solución me da que es 8 y poquito. (25 + 10√41 + 41)/16
Si la ecuación fuera: 2x1/2 + 2x-1/2-5 = 0 Ahí si las soluciones serían 4 y 1/4
Haciendo el cambio de variable, x1/2 = t Entonces:
2t + t-1 - 5 = 0 Multiplicando todo por t:
t(2t + 2t-1 - 5) = 0t => 2t2 + 2t-1 t - 5t = 0 => 2t2 - 5t + 2 = 0 Resolviendo:
t = (5 ± √(25 - 16))/4 = (5 ± 3)/4 => t1 = 8/4 = 2 y t2 = 2/4 = 1/2 y como x = t2 :
x1 = t12 = 22 = 4 y x2 = t22 = (1/2)2 = 1/4

A ver si colaboro yo también con este desarrollo.
Tienes la ecuación:
2x1/2 - 2x-1/2 - 5 = 0;
aplicas la propiedad de las potencias con exponente negativo en el segundo término, y queda:
2x1/2 - 2/x1/2 - 5 = 0;
luego, planteas la sustitución (cambo de incógnita):
x1/2 = w (1),
observa que tanto x como w no pueden ser iguales a cero, sustituyes, y queda:
2w - 2/w - 5 = 0;
multiplicas por w en todos los términos de la ecuación, y queda:
2w2 - 2 - 5w = 0,
ordenas términos, y queda:
2w2 - 5w - 2 = 0,
que es una ecuación polinómica cuadrática, cuyas soluciones son:
a)
w = ( 5 + √(41) )/4 ≅ 2,851,
reemplazas este valor en la ecuación señalada (1), y queda:
x1/2 = ( 5 + √(41) )/4,
elevas al cuadrado en ambos miembros, y queda:
x = ( ( 5 + √(41) )/4 ) )2 = ( 5 + √(41) )2/16 = ( 66 + 10√(41) )/16 = ( 33 + 5√(41) )/8 ≅ 8,127,
y si reemplazas el valor remarcado (o su valor aproximado con varios decimales, para no lidiar con tanto cálculo) en la ecuación puedes verificar que sí es una solución válida para la ecuación de tu enunciado;
b)
w = ( 5 - √(41) )/4 ≅ -0,351,
reemplazas este valor en la ecuación señalada (1), y queda:
x1/2 = ( 5 - √(41) )/4,
elevas al cuadrado en ambos miembros, y queda:
x = ( ( 5 - √(41) )/4 ) )2 = ( 5 - √(41) )2/16 = ( 66 - 10√(41) )/16 = ( 33 - 5√(41) )/8 ≅ 0,123
y si reemplazas el valor remarcado (o su valor aproximado con varios decimales, para no lidiar con tanto cálculo) en la ecuación puedes verificar que no es una solución válida para la ecuación de tu enunciado.
Espero haberte ayudado.

t-1 es una forma de escribir 1/t . (Por definición)
x-1/2 = 1/x1/2 y como x1/2 = t => 1/x1/2 = 1/t = t-1
Otra forma de verlo es: x-1/2 = x(-1)(1/2) = x(1/2)^(-1) = t-1
Aquí no puedo escribir "elevado a la, elevado a la" por eso utilizo el símbolo ^ que es un convenio bastante generalizado para referirse a la potencia. (1/2)^(-1) = (1/2)-1
Animo! Yo no nací sabiendo estas cosas. Si soy bueno en esto es en gran medida porque aprendí de grandes maestros y profesores. Y lo sigo haciendo.
Y me he equivocado mucho y he practicado mucho ;)
Hola, ¿me podrían dar una mano para derivar lo siguiente?
No estoy seguro de cómo será la fórmula:
Suponiendo que:
a = 2^3
b = e^5x-1
c = cos(2x^2)
d = ln(x)
Lo que que se me ocurre:
f ' (x) =
(a' * b + a * b') * (c * d) - (a * b) * (c' * d + c * d')
_________________________________________________
(c * d)^2
Pero cuando verifiqué el resultado en https://www.calculadora-de-derivadas.com/ no me dio lo mismo :(
Dejo la función que ingresé en la web: (2x^3*e^(5x-1))/(cos(2x^2)*ln(x))
Y este fue mi resultado (ingresar en la web para verlo más prolijo, sino diganme y subo una foto):
(6x^2*e^(5x-1)+2x^3*e^(5x-1)*5)(cos(2x^2)*ln(x)) - (2x^3*e^(5x-1)-sen(2x^2)*4x*ln(x)+cos(2x^2)*1/x)/(-sen(2x^2)*4x*ln(x)+cos(2x^2)*1/x)

Te diré que en mi mente no existe la derivada de una división, ni siquiera existe la división. Existe multiplicar por el inverso. Y la derivada de una división resulta de derivar una multiplicación por un inverso y la regla de la cadena.
Si a = 2x3 b = e(5x-1) c = cos(2x2) y d = ln(x) Entonces:
((ab)/(cd))' = ((ab) (cd)-1)' = (ab)' (cd)-1 + (ab)(-1)(cd)-2(cd)' = (a'b + ab')(cd)-1 - (ab)(cd)-2(c'd + cd')
Prueba con esa formula. Sustituye los valores a, b, c, d, y sus derivadas, a', b', c', y d'
Y verifica si a la expresión a la que llegas y la que arroja la calculadora de derivadas no son identidades.

Ahora que lo veo, si multiplicas y divides el primer termino de la expresión que te he dado por (cd)-1 tienes:
(a'b + ab')(cd)-1(cd)-1/(cd)-1 - (ab)(cd)-2(c'd + cd') = (a'b + ab')(cd)-2/(cd)-1 - (ab)(cd)-2(c'd + cd') = (cd)-2 ((a'b + ab')/(cd)-1 - (ab)(c'd + cd')) =
= ((a'b + ab')(cd) - (ab)(c'd + cd'))/(cd)2
Que es la misma formula que tu planteas.
Revisa bien los cálculos, que no se te haya olvidado ninguna constante, signo o paréntesis porque debería darte el resultado.

Para que f(x) sea continua en x = 1, las funciones g(x) = 1-2cos(x-1) y h(x) = 1/4 (x+b)2 -1 deben tener la misma imagen en x = 1
g(1) = 1-2cos(1-1) = 1-2cos(0) = 1-2*1 = 1-2 = -1 De modo que para que f sea continua, b debe ser tal que h(1) = -1
h(1) = 1/4 (1+b)2 -1 = -1 => 1/4 (1+b)2 = -1 + 1 => 1/4 (1+b)2 = 0 => (1+b)2 = 4*0 => (1+b)2 = 0 Y es casi evidente que b debe ser b= -1
O se desarrolla el binomio y se resuelve, b2 + 2b + 1 = 0 => b = (-2±√(4-4))/2 = -2/2 = -1