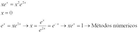
He intentado resolver esta equacion, pero no consigo encontrar la solución, si alguien me pudiera ayudar, gracias

En estos casos bueno seria hablar un poco en C++ (u otro lenguaje de programación) para expresar claramente los procedimientos.
Un método puede ser progresivamente acotar superior e inferiormente al valor de x.
Hallar a y b tal que a ≤ x ≤ b, calculando f(a) ≤ 1 ≤ f(b) hasta hallar un resultado en donde a = b en términos de cifras significativas deseadas.
(El en las inecuaciones el igual esta solo por si a caso das con un valor de a o b que de justo con el resultado buscado).
Es una buena idea empezar por estudiar el comportamiento de la función, continuidad, crecimiento, máximos, mínimos, puntos de inflexión y hacia donde tiende... y todas esas cosas, para saber si la solución es única o no. Y así quizás tener una buena referencia de que valores iniciales dar a a y b para comenzar el algoritmo de acotación.
Espero te pueda haber ayudado algo.

Mira este vídeo...
Trigonometría - Reducción al primer cuadrante