Foro de preguntas y respuestas de Matemáticas

logo beUnicoos
Los foros de unicoos se han unificado en nuestra nueva plataforma beUnicoos. Para dejar nuevas preguntas deberás hacerlo allí, donde además podrás encontrar nuevas asignaturas y herramientas para ayudarte más con tus estudios.

  • icon

    Pedro Postigo Albarran
    el 20/10/18

    hola, alguien podría decirme como plantear la siguiente matriz AX + A = BX en la que me dicen lo que vale A y B pero no X ...gracias

    replythumb_up0 voto/sflag
    icon

    Antonius Benedictus
    el 20/10/18


    thumb_up1 voto/sflag
  • icon

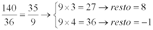
    umayuma
    el 20/10/18

    ¿Por qué en la división de 140:36 el primer numero del cociente es 3 si se puede también por 4 y además da un resto menor(y por 5 se pasa)?

    replythumb_up0 voto/sflag
    icon

    César
    el 20/10/18


    thumb_up0 voto/sflag
  • icon

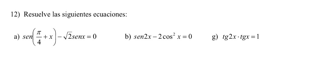
    MIGUEL HERMES
    el 20/10/18

    Me podrías ayudar con estas ecuaciones, muchas gracias



    replythumb_up0 voto/sflag
    icon

    Antonius Benedictus
    el 20/10/18


    thumb_up1 voto/sflag
    icon

    Antonius Benedictus
    el 20/10/18


    thumb_up1 voto/sflag
    icon

    Antonius Benedictus
    el 20/10/18


    thumb_up1 voto/sflag
  • icon

    Lau
    el 20/10/18

    Hola buenas tardes, alguien podria ayudarme con estos ejercicios, gracias de antemano

    replythumb_up0 voto/sflag
    icon

    César
    el 20/10/18

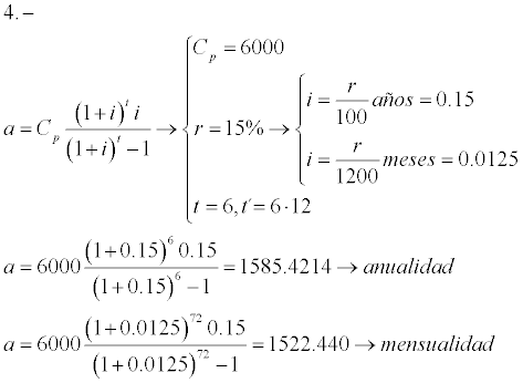
    4


    thumb_up0 voto/sflag
  • icon

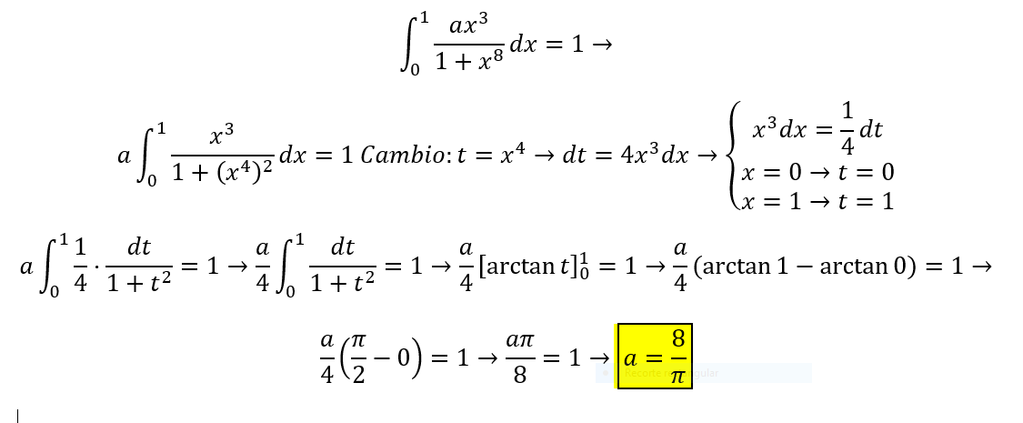
    Marco Tarazona
    el 20/10/18

    una ayuda con esto please: 

    replythumb_up0 voto/sflag
    icon

    Antonius Benedictus
    el 20/10/18


    thumb_up1 voto/sflag
  • icon

    MIGUEL HERMES
    el 20/10/18

    Tengo una duda con esto:



    replythumb_up0 voto/sflag
    icon

    Antonius Benedictus
    el 20/10/18


    thumb_up0 voto/sflag
  • icon

    Paula H
    el 20/10/18

    Paula HiconPaula H
    hace 1 hora, 55 minutos

    hola, me podrían ayudar con el ejercicio 11 los dos primeros apartados creo que están bien pero los dos siguientes no me salen. Muchas gracias


    replythumb_up0 voto/sflag
    icon

    Antonius Benedictus
    el 20/10/18


    thumb_up1 voto/sflag
  • icon

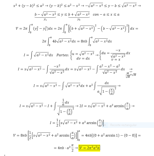
    Paula H
    el 20/10/18

    hola, me podrían ayudar con el ejercicio 10 es que me salio en un examen y no supo como resolverlo. Muchas gracias


    replythumb_up0 voto/sflag
    icon

    Antonius Benedictus
    el 20/10/18

    Los cálculos finales corren de tu cuenta:


    thumb_up1 voto/sflag
  • icon

    Marco Tarazona
    el 20/10/18

    hola me pueden hayudar coneste problema porfavor

    replythumb_up0 voto/sflag
    icon

    Antonius Benedictus
    el 20/10/18


    thumb_up1 voto/sflag