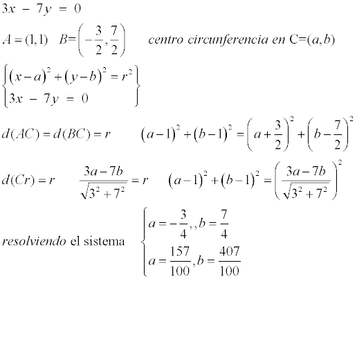
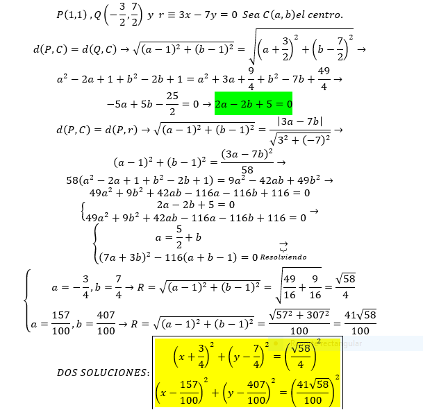
Buenas noches, podrian ayudarme a resolver este ejercicio? Hallar la ecuación de la circunferencia que pasa por los puntos (1,1) y (-3/2,7/2) y que sea tangente a la recta 3x - 7y = 0
Hola, podría alguien de vosotros explicarme el procedimiento para resolver este ejercicio? Sé cuál es el resultado, pero no como demostrarlo, gracias de antemano ^^![]()

¡Hola! Nos encantaría ayudarte, pero no solemos responder dudas universitarias que no tengan que ver específicamente con los vídeos que David Calle ha grabado como excepción. O de otras asignaturas que no sean Matemáticas, Física y Química. Lo sentimos de corazón… Esperamos que lo entiendas.
Ojalá algún unicoo universitario se anime a ayudarte (de hecho, lo ideal es que todos los universitarios intentarais ayudaros los unos a los otros).
Hola, hago 4to de la ESO. Me enseñan cómo racionalizar esta ecuación? 2/(√2-1+√3)
Gracias

Tienes la expresión numérica irracional (observa que agrupamos términos en el denominador), y queda:
x = 2/( (√(2)-1) + √(3) ),
multiplicas al numerador y al denominador de la expresión por ( (√(2)-1) - √(3) ), y queda:
x = 2*( (√(2)-1) - √(3) ) / ( (√(2)-1) + √(3) )*( (√(2)-1) - √(3) ),
distribuyes en el denominador, cancelas términos opuestos, y queda:
x = 2*( (√(2)-1) - √(3) ) / ( (√(2)-1)2 - 3 ),
desarrollas el primer término en el denominador, y queda:
x = 2*( (√(2)-1) - √(3) ) / ( 3-2√(2) - 3 ),
cancelas términos opuestos en el denominador, y queda:
x = 2*( (√(2)-1) - √(3) ) / ( -2√(2) ),
simplificas factores enteros, y queda:
x = ( (√(2)-1) - √(3) ) / ( -√(2) ),
multiplicas al numerador y al denominador de la expresión por -√(2), y queda:
x = -√(2)*( (√(2)-1) - √(3) ) / ( -√(2) )2,
resuelves el denominador, y queda:
x = -√(2)*( (√(2)-1) - √(3) ) / 2,
distribuyes el numerador, y queda:
x = ( -2 + √(2) + √(6) ) / 2.
Espero haberte ayudado.

Tienes tu primera integral:
0∫1 ( ex*f(ex) )*dx = 5;
aplicas la sustitución (cambio de variable) en el primer miembro:
w = ex (observa que toma los valores e0 = 1 y e1 = e en los límites de integración), de donde tienes:
dw = ex*dx;
luego sustituyes, y la integral queda:
1∫e f(w)*dw = 5 (1).
Tienes tu segunda integral (observa que cambiamos la variable x de tu enunciado por w), y queda:
1∫e ( f(w) - 1 )*dw =
separas en términos, y queda:
= 1∫e f(w)*dw - 1∫e 1*dw =
reemplazas el valor señalado (1) en el primer término, integras en el segundo término (indicamos con corchetes que debes evaluar con Regla de Barrow entre w = 1 y w = e), y queda:
= 5 - [w] =
evalúas el segundo término, y queda:
= 5 - (e - 1) =
distribuyes el segundo término, reduces términos enteros, y queda:
= 6 - e.
Espero haberte ayudado.
Sean BV = {v1, v2, v3, v4} y B' V = {w1, w2, w3, w4} dos bases de un EV de forma que se cumple que:
w1 = v1 − v4
w2 = v2 + 2xv3 + 3xv4
w3 = v1 − v2 + 2xv3 − 2xv4
w4 = v3 − v4
El vector (1, 0, 2, 0) en BR4 ¿que coordenadas tendrıa en B'R4 ?

a)
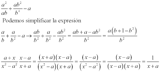
Tienes la expresión algebraica:
a2 / ab + ab2 / b4 - a = simplificas en el primer término, simplificas en el segundo término, y queda:
= a/b + a/b2 - a = extraes denominador común, y queda:
= (ab + a - ab2)/b2 = extraes factor común en el numerador, y queda:
= a(b + 1 + b2)/b2.
b)
Tienes la expresión algebraica:
(a + x)/(x2 - a2) * (x - a)/(x + a) = resuelves la multiplicación de expresiones fraccionarias, y queda:
= (a + x)*(x - a) / (x2 - a2)*(x + a) =
simplificas el primer factor del numerador con el segundo factor del denominador, y queda:
= (x - a) / (x2 - a2) = factorizas el denominador (observa que tienes una resta de cuadrados), y queda:
= (x - a) / (x + a)*(x - a) = simplificas, y queda:
= 1/(x + a).
Espero haberte ayudado.