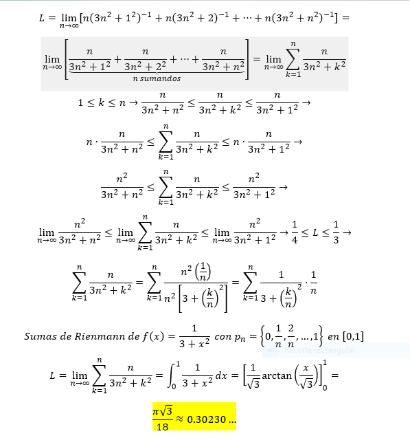
5Hola tengo una duda. Intento calcular este limite a partir de el numero e y no me coincide con el resultado que ha de ser 1. Gracias

Observa la expresión del exponente que obtienes justo antes de pasar a resolver el límite:
(2/n)*(n-1)*( 1/(n-1) ) = (n-1)*(2/n)*( 1/(n-1) ) = (n-1)*( 2 / n*(n-1) ).
Luego, pasas al argumento del límite, y queda:
( 1 + 1/(1/(n-1) )(n-1)*( 2 / n*(n-1) ) = ( ( 1 + 1/(1/(n-1) )(n-1) )( 2 / n*(n-1) );
y ahora sí, observa que la base de la expresión tiende a e, y que el exponente de la expresión tiende a 0, cuando n tiende a +infinito.
Espero haberte ayudado.
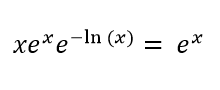
Hola, me ayudarían a simplificar la expresión a la izquierda del signo igual? Supuestamente se simplifica en e^x pero nose como se hace.
Muchas gracias.
Buenas noches! En la tarde puse un ejercicio que no sabía realizar y he visto que me han respondio muy rápido! muchas gracias!
Me gustaría, si es posible que me explicaran el proceso acerca de como se hace, porque no lo llego a entender. Gracias de antemano.
Buenas noches, unicoos!
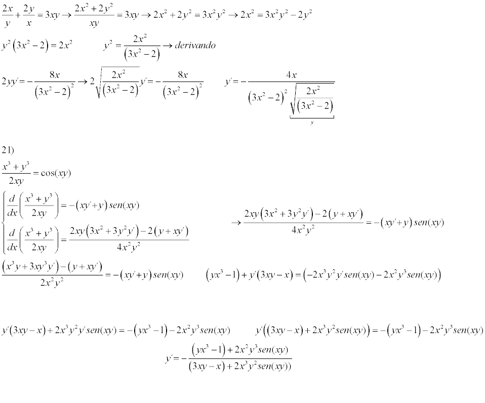
Estoy haciendo el ejercicio 89 y me surgen varias dudas. Entiendo que para hacer este ejercicio hay que aplicar las fórmulas de seno coseno y tangente para el angulo doble. Para ello, necesito calcular primero el seno y el coseno del ángulo aplicando las relaciones entre las razones trigonométricas, y me dan positivas sen=0.95, cos=0.32. Pero al calcular las razones del ángulo doble me dan los tres resultados negativos ¿ Esto puede ser? ¿ Qué tendría que ver con lo del primer y tercer cuadrante? Si es del primer cuadrante estaría hecho porque he puesto seno y coseno positivo, y para hacer las del tercer cuadrante sería el mismo resultado pero con signo negativo tanto en seno y coseno? ¿Cómo sería el resultado?Ayuda por favor!
En el primer cuadrante
sen 2α = 2senα·cosα=2·0.95·0.32 = 0.6
cos 2α = sen2α-cos2α=0.952-0.322 = -0.8
tan 2α = sen 2α / cos 2α = 0.6/-0.8=-0.75
En el tercer cuadrante
sen 2α = 2senα·cosα=2·(-0.95)·(-0.32) = 0.6
cos 2α = sen2α-cos2α=(-0.95)2-(-0.32)2 = -0.8
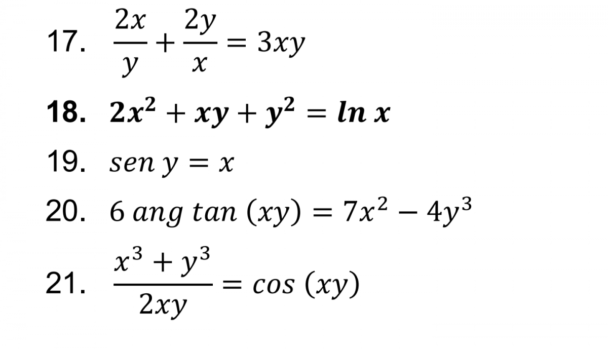
tan 2α = sen 2α / cos 2α = 0.6/-0.8=-0.75